clase del 16 de septiembre
Requisitos de finalización
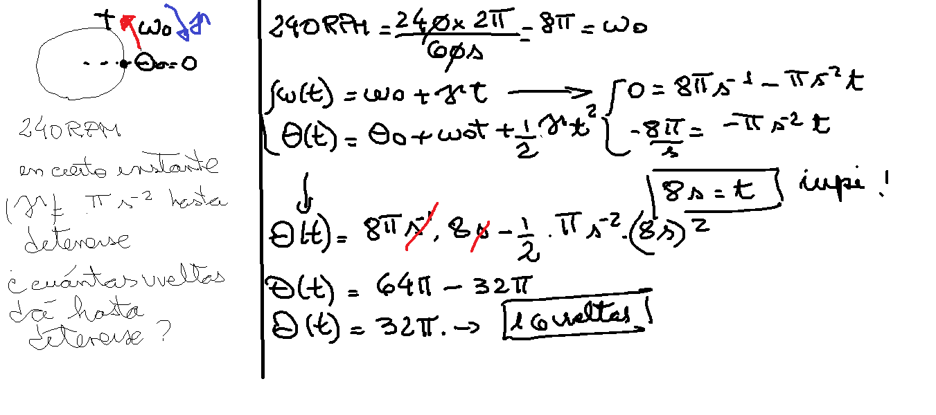
Haga clic en Sin título.png para ver el archivo.