Resumen de conceptos básicos MRU/MRUV
Cinemática
Sistemas de referencia - Rapidez y velocidad - M.R.U. - M.R.U.V.
El movimiento de los cuerpos
Todo alrededor nuestro es movimiento. Se mueven las personas, los autos, los pájaros y las nubes. Vemos moverse al Sol y a las estrellas, y una mirada atenta al mundo microscópico nos revela un universo de pequeñísimos objetos en continuo movimiento. Si bien a primera vista resulta sencillo decidir si un objeto se está moviendo o está quieto, una visión más profunda revela cierta relatividad en nuestras opiniones, determinando que el movimiento de los cuerpos es relativo a otros que consideramos quietos.
La cinemática es la parte de la física que estudia el movimiento de los cuerpos sin ocuparse de las causas que lo producen. Este estudio permite identificar las magnitudes que intervienen en la descripción de los movimientos y establecer las relaciones existentes entre ellas. Sólo veremos como describir movimientos muy sencillos de trayectoria rectilínea, ya sea mediante ecuaciones o o bien utilizando gráficos.
Cuando decimos que un auto se desplaza por una carretera con una velocidad de 60 km/h, ésta se refiere a objetos fijos, como árboles o carteles al costado del camino. Estos objetos considerados fijos constituyen lo que se denomina un marco de referencia respecto del cual realizaremos nuestras mediciones (Nótese que los árboles y carteles mencionados están fijos respecto de la Tierra, pero se encuentran en movimiento respecto del Sol ú otros astros). La elección de este marco de referencia, entonces, es muy amplia y arbitraria, ya que se puede considerar al conductor del auto en reposo (y en realidad lo está respecto del volante y del interior del habitáculo, etc.) y pensar que la ruta se desplaza a 60 km/h pero en sentido contrario al que llevaba el conductor del auto. Por lo tanto al describir el movimiento de cualquier cuerpo es preciso definir de antemano cuál es el objeto que suponemos quieto respecto del cual el otro se mueve, ya que respecto de ese objeto considerado quieto es que vamos a referir todas nuestras mediciones.
Si bien en movimientos cotidianos resulta trivial determinar si un objeto está en movimiento o no, no debemos despreciar la importancia en la elección del sistema de referencia. Un caso emblemático es la conocida controvercia acerca del movimiento de la Tierra y las dificultades que atravezaron quienes, como Galileo y Copérnico, pensaban que ésta no estaba fija en los cielos, proclamando que giraba en derredor del Sol.
Rapidez
Existe en todos nosotros una noción intuitiva del concepto de rapidez (que en uso cotidiano solemos identificarlo al concepto de velocidad) cuando aplicamos el término a la descripción de algo que se mueve. Un cuerpo que se mueve recorre una determinada distancia en un tiempo dado. Cuanto menos tarde en recorrer esa distancia decimos que más rápido se mueve. Así que la rapidez es la relación entre la distancia recorrida y el tiempo empleado. Si una persona recorre una distancia de 100 m en 100 segundos decimos que se mueve a razón de 1 m/s (se lee un metro por segundo). En realidad, para comenzar a expresarnos con propiedad, deberíamos llamar a esta rapidez como rapidez media ya que decir que la persona se mueve a razón de 1 m/s es verdad solamente si se mantuvo el mismo ritmo de marcha durante todo el trayecto, información que no disponemos. Decir que una persona recorrió 100 m en 100 segundos implica una variedad de sucesos posibles; puede haber mantenido el mismo ritmo, o bien haber caminado más deprisa los primeros 50 m (y por lo tanto con una rapidez mayor a la de 1 m/s) y luego mas lentamente los restantes 50 m (moviéndose, entonces, con una rapidez menor). O quizá se movió de manera completamente aleatoria, de modo que la rapidez media es como un valor “medio” para todo el trayecto pero no describe con exactitud el comportamiento en cada instante del recorrido. En definitiva, es la mejor aproximación que podemos hacer con la información que tenemos.
Es importante entender la diferencia (en términos físicos) entre la rapidez y la velocidad ya que en el lenguaje cotidiano las solemos usar de manera indistinta. Cuando el velocímetro de un auto marca 50 km/h decimos que su velocidad es de 50 km/h sin mencionar hacia donde se dirige. Para expresar una velocidad debemos indicar, además del valor, su dirección y sentido. Entonces si dos camiones se desplazan a 50 km/h, uno de ellos hacia el Norte y el otro al Oeste ambos tendrán la misma rapidez pero sus velocidades serán diferentes por dirigirse en distintas direcciones. A las magnitudes como la velocidad, para cuya definición se debe indicar aparte de su valor, la dirección y el sentido que llevan se las llama magnitudes vectoriales, mientras que aquellas que se definen sólo mediante su valor se llaman magnitudes escalares. DE aquí en adelante, al decir velocidad nos estaremos refiriendo siempre al vector velocidad.
Velocidad media
Como desarrollaremos solamente movimientos en línea recta, en los cuales los objetos se mueven hacia ambos lados, para diferenciar velocidades de objetos que se muevan en sentidos contrarios estableceremos arbitrariamente un sentido como positivo; las velocidades de objetos que se desplacen en ese sentido serán consideradas positivas y las de objetos que se muevan en sentido contrario serán negativas. Para efectuar nuestras mediciones con corrección, debemos considerar algún punto que nos sirva como referencia para observar el movimiento de otros cuerpos cercanos. Una vez elegido el punto de referencia, estableceremos un sistema de coordenadas.
La figura nos muestra el estudio del movimiento de un cuerpo a lo largo de una línea recta, en la cual el punto considerado como referencia coincide con el origen de nuestro sistema de coordenadas y en donde hemos elegido el sentido positivo hacia la derecha. Hemos colocado observadores al costado del camino con sus cronómetros sincronizados y hemos registrado cuatro situaciones anotando el punto del sistema de coordenadas que ocupaba el móvil (o sea la posición del móvil) y el instante de tiempo correspondiente obtenido consultando nuestros cronómetros. Así cuando pusimos en marcha los cronómetros vimos el móvil pasaba por la coordenada de los 40 m, luego a los 5 segundos por la coordenada 60m, etc, y con estos datos hemos confeccionado una tabla de valores.

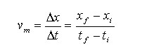
Vamos a definir ahora una magnitud llamada desplazamiento como la diferencia entre dos posiciones del objeto cuyo movimiento estudiamos. Utilizando la letra x para nombrar la posición que ocupa el objeto se define desplazamiento como:
Δx = xf – xi
expresión en donde xf representa la posición final y xi la posición considerada inicial para un intervalo dado de estudio.
Como se ve, entre cada una de nuestras mediciones el desplazamiento es de 20 m. El desplazamiento puede referirse a dos posiciones cualesquiera, no necesariamente consecutivas, como ser entre la primera y la tercera (en este caso 40 m). Por ejemplo, el desplazamiento entre la primera y la cuarta medición de nuestro estudio será:

Idénticamente podemos definir el lapso de tiempo entre dos medidas cualesquiera como la diferencia entre el registro temporal final y el inicial:
Δt = tf - ti
El intervalo de tiempo correspondiente al desplazamiento anterior será:
Δt1-4 = t4 - t1 = 30 s - 0 s = 30 s
Dadas estas definiciones, ahora vamos a definir otra magnitud, llamada velocidad media, como la relación entre las magnitudes antes definidas:

La velocidad media correspondiente al intervalo 1-4 será:

Como práctica calculá las velocidades medias correspondientes a los intervalos 1-2, 2-3, 3-4 y 2-4.
(Rtas.: vm 1-2 = 4 m/s vm 2-3 = 2 m/s vm 3-4 = 1,33 m/s vm 2-4 = 1,6 m/s)
MOVIMIENTO RECTILÍNEO UNIFORME
La nueva imagen nos muestra un viejo automóvil que se desplaza por una ruta rectilínea en donde hemos hecho también 4 observaciones. Si calculamos la velocidad media para cualquier intervalo que se nos ocurra veremos que siempre se obtiene el mismo resultado (50 km/h). Si esto se cumpliese para todos los puntos del recorrido estaríamos observando lo que se llama un movimiento rectilíneo uniforme (MRU) donde la velocidad no depende del intervalo en el cual se la mida sino que se mantiene constante a lo largo de todo el recorrido. Si bien es un movimiento muy sencillo existen numerosos ejemplos en la naturaleza en los cuales el comportamiento de los objetos obedece estas condiciones. El ritmo de la marcha de los animales y personas es constante en muchas ocasiones, el movimiento de un glóbulo rojo en un tramo de arteria de sección constante, o de un impulso nervioso a lo largo de un axón, también lleva velocidad constante. Un estudio de sus características nos permitirá establecer una relación entre las posiciones que ocupan los móviles y el tiempo correspondiente y obtener conclusiones que podremos generalizar para aplicarlas al estudio de otros movimientos.
En el gráfico siguiente hemos llevado en el eje horizontal los valores del tiempo y en el eje vertical hemos colocado las posiciones que fue ocupando el automóvil. Como se ve, estos puntos se alinean formando una recta. Hemos marcado el desplazamiento correspondiente a dos mediciones (la segunda y la cuarta) y el intervalo de tiempo que le está asociado. Como ya dijimos el cociente entre estas magnitudes nos da la velocidad, que, por ser constante, no depende del intervalo elegido. En términos matemáticos, la velocidad es la pendiente de esa recta.

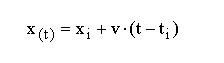
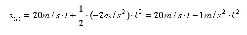
Para relacionar las posiciones que ocupa sucesivamente el móvil con el instante de tiempo correspondiente vamos a utilizar la ecuación horaria de la posición en función del tiempo para un MRU (que se obtiene a partir de a definición de la velocidad media):

Aplicándola al movimiento anterior, partiendo de la base de que sabemos que el auto tiene una velocidad constante de 50 km/h y que a las tres horas pasó por el kilómetro 200, en la ecuación horaria anterior reemplazamos xi por 200 km, v por 50 km/h y ti por las 3 horas, con lo que resulta:

Así se establece la relación entre la posición que ocupará el auto y el instante de tiempo respectivo. Por ejemplo, si quisiéramos saber donde estará el móvil a las 12 h reemplazaríamos t por 12 h resultando

Por lo tanto a las 12 hs el móvil pasará por la posición de los 650 km (suponiendo que sigue con velocidad constante).
Podemos realizar la distributiva del segundo miembro de la ecuación horaria obtenida y agrupando nos quedará:

que representa la ecuación de una recta, de pendiente 50 km/h y ordenada al origen 50 Km, que es justamente la recta que obtuvimos al realizar el gráfico anterior.
Por otra parte, el gráfico de la velocidad en función del tiempo nos permite concluir que el área encerrada entre la gráfica (en este caso una línea horizontal, ya que la velocidad es constante), el eje horizontal y dos instantes cualesquiera equivale al desplazamiento del móvil en ese intervalo de tiempo.
Esta no es una conclusión particular para el MRU, se verifica para el gráfico de la velocidad en función del tiempo de cualquier tipo de movimiento

Ejemplo 1
Dado el siguiente gráfico de la posición en función del tiempo para un cuerpo que se desplaza con movimiento rectilíneo obtener la velocidad con la que se desplaza, calcular su posición al cabo de 10 seg y determinar cuando pasará por delante el punto elegido como origen de coordenadas de posición.
En el gráfico vemos una recta decreciente, o sea, de pendiente negativa. Sabemos que se trata de un MRU porque su gráfica x(t) es una recta y además como la pendiente de la recta representa la velocidad, esta debe ser negativa, o sea que el móvil se mueve en el sentido de las x´s decrecientes. En efecto, conocemos dos coordenadas del recorrido ya que de acuerdo con el gráfico en tiempo 0 el móvil se hallaba en la posición +200 m y que a los 16 segundos se encontraba en la posición de los +40 metros, moviéndose hacia el origen de coordenadas. Calculemos entonces su velocidad empleando:

Conocida su velocidad vamos a escribir la ecuación horaria para la posición y usaremos las coordenadas del primer punto (0 seg ; 200 m):
Como vimos en clase, esta función nos permite establecer una relación entre posiciones y tiempos correspondientes a este movimiento. Para los 10 segundos la posición del móvil será:
![]()
Para saber cuando pasará por el origen de coordenadas (x = 0) sólo debemos reemplazar esta coordenada x y despejar el tiempo:

MOVIMIENTO RECTILÍNEO UNIFORMEMENTE VARIADO
Aceleración
Es habitual que en el transcurso de su movimiento un cuerpo cambie su velocidad. Puede cambiar el valor, dirección o ambas cosas a la vez. Estos cambios de velocidad ocurren durante un intervalo de tiempo, no instantáneamente. Cuanto menor sea este intervalo más brusco será el cambio en el movimiento. Existe una magnitud que mide esta intensidad en el cambio y se denomina aceleración, definiéndose como el cociente entre la variación de la velocidad y el tiempo que éste demande. Así:

Estudiaremos un movimiento de dirección rectilínea en el cual la velocidad cambia su valor en forma lineal, registrándose en iguales intervalos de tiempo iguales cambios de velocidad. De esta forma su razón o cociente es siempre el mismo, resultando la aceleración una constante. El movimiento resultante se llama movimiento rectilíneo uniformemente variado (MRUV) pues la velocidad varía uniformemente con el tiempo. En estos casos, la velocidad puede aumentar (y la aceleración correspondiente tendrá un valor positivo), o disminuir (en cuyo caso la aceleración será negativa).
Velocidad instantánea
Si ahora despejamos de la expresión anterior el valor de la velocidad final obtendremos una relación que se conoce como la ecuación horaria de la velocidad en función del tiempo para un MRUV

La figura nos muestra el gráfico correspondiente a un objeto que se mueve con MRUV de aceleración positiva, ya que su velocidad aumenta. Como la aceleración es constante el gráfico resulta ser el de una recta cuya pendiente es justamente la aceleración

Ecuación horaria de la posición
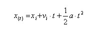
Vimos que en un gráfico velocidad-tiempo el área delimitada por dos coordenadas de tiempo representaba el desplazamiento del móvil en dicho lapso. De allí podemos deducir la ecuación horaria de la posición en función del tiempo en un MRUV.


Esta expresión establece una relación entre la posición del cuerpo y el instante de tiempo t.
Vemos que es una función de segundo grado cuya representación gráfica es la de una parábola.
En el gráfico posición-tiempo dibujado abajo, a modo de ejemplo, la parábola es cóncava, es decir, un MRUV con aceleración positiva (recordemos de matemática que si el signo del término de segundo grado es positivo la parábola es cóncava). Ahora analicemos como observar en este gráfico el comportamiento de la velocidad. Sabemos que esta aumenta pues la aceleración es positiva. Cuando vimos MRU, cuya gráfica x(t) era la de una recta, la velocidad estaba representaba por la pendiente (o sea la “inclinación”) de dicha recta. En el caso de una curva, como es en este caso el de la parábola, podemos imaginarla compuesta de una serie continua de rectas tangentes, cuya pendiente representará efectivamente a la velocidad en cada instante (otra vez los conceptos matemáticos).
En el gráfico se han marcado dos rectas tangentes (cuya pendiente indicamos como m), una de ellas correspondiente al instante inicial y la otra a un tiempo cualquiera t1. Esto permite comprobar que la velocidad ha ido en aumento, ya que si tenemos en cuenta que las pendientes de estas rectas representan las velocidades respectivas, vemos que la pendiente de la segunda de las rectas es mayor que la de la recta trazada por el punto inicial, de modo que la velocidad en el instante t1 es superior a la del instante inicial.

Resumiendo:

La pendiente de la recta tangente al gráfico de la posición en función del tiempo, en un instante cualquiera, representa la velocidad en ese momento.
La pendiente de la recta definida en el gráfico de la velocidad en función del tiempo representa la aceleración.
El área bajo la gráfica de la velocidad en un intervalo de tiempo cualquiera representa el desplazamiento.
Ejemplo 2
Dado el siguiente gráfico v(t) para un cuerpo con movimiento
rectilíneo:
a) Calcular la aceleración.
b) Escribir v(t) y calcular la velocidad a los 8 seg.
c) Escribir x(t) tomando como origen xi= 0 y calcular la posición en el instante antes referido. Graficar.
d) ¿Qué distancia recorre desde los 6 seg hasta los 8 seg?
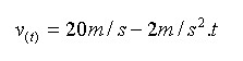
a) Estudiando el gráfico vemos que la velocidad decrece desde un valor de 20 m/s hasta anularse luego de 10 seg, por lo que su aceleración debe ser negativa.
Reemplazando en (2) y despejando a:
b) Podemos ahora escribir la ecuación de la velocidad en función del tiempo (2):

Esta función nos permite conocer el valor de la velocidad para cualquier instante de tiempo entre 0 y 10 seg. En particular a los 8 seg su velocidad será:

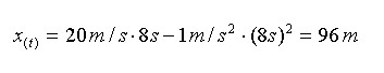
c) Si reemplazamos ahora en (1):

A los 8 seg estará en la posición:

El gráfico de la posición en función del tiempo debe ser una parábola convexa, ya que al ser la aceleración negativa el
coeficiente de t² será negativo.
Se han trazado dos rectas tangentes para dos instantes cualquiera verificándose que la pendiente de la segunda es menor que la de la primera lo cual indica que la velocidad disminuye, lo que es consecuente con el hecho de que la aceleración sea negativa.
También se ha marcado la posición alcanzada al cabo de los 10 seg o sea cuando el móvil detuvo su marcha
(en este instante la parábola alcanza su máximo, pues la velocidad es cero - recta tangente horizontal).
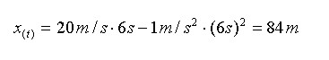
e) Para contestar esta pregunta debemos calcular la posición del móvil a los 6 seg y a los 8 seg y calcular luego el desplazamiento respectivo. Ya conocemos la posición a los 8 seg (96 m) de modo que ahora la calcularemos a los 6 seg:

Por lo tanto el desplazamiento en ese intervalo de tiempo será:
