Ley de Ohm - Circuitos eléctricos
Electrodinámica
En hidrodinámica estudiamos que si entre dos puntos se establecía una diferencia de presión ésta provocaba la circulación de los fluidos de la zona de mayor presión a la de menor presión. Posteriormente, al hablar de los fenómenos de transporte, observábamos que la diferencia de concentraciones entre dos puntos de una solución determinaba un flujo de solutos (difusión) desde la zona de mayor a la de menor concentración. Luego, al tratar la conducción de calor vimos que si entre dos puntos existía una diferencia de temperatura esto provocaba un flujo de calor desde la zona de mayor temperatura hacia la de menor temperatura. Ahora veremos que si entre dos puntos existe una diferencia de potencial ésta producirá un flujo de carga eléctrica desde los puntos de mayor potencial hacia los de menor potencial.
Estudiamos en electrostática el concepto de diferencia de potencial eléctrico entre dos puntos del espacio y sabemos que esta diferencia genera un campo eléctrico que afecta al espacio circundante. Este campo producirá fuerzas eléctricas sobre las cargas que se encuentren en dicho espacio. Veremos ahora bajo que circunstancias esta diferencia de potencial permite la circulación de cargas eléctricas. Llamaremos a esta circulación corriente eléctrica.
Si colocamos en el interior de un campo un material dieléctrico, o sea un mal conductor de la electricidad, las fuerzas actuantes sobre las cargas existentes en los átomos del aislante provocan que éstas se aliñen, pero sin que exista un movimiento en las mismas ya que sus electrones se encuentran fuertemente aferrados al núcleo atómico. Por lo tanto no hay conducción de carga entre los puntos con diferente potencial.
Así como existen estos materiales que no conducen las cargas eléctricas también mencionamos que existen otros materiales llamados conductores precisamente por poseer la propiedad de provocar un desplazamiento de cargas en su interior cuando son colocados entre dos puntos que poseen una diferencia de potencial eléctrico. ¿ Por qué sucede esto? En general los conductores de la electricidad son las sustancias metálicas y la razón de que esto ocurra es que estas poseen en sus órbitas exteriores una capa de electrones de carácter inestable. Estos no están ligados a ningún núcleo atómico en particular sino que son libres de desplazarse por todo el material. Se calcula que los conductores metálicos poseen unos 1022 electrones libres por centímetro cúbico que se hallan en un continuo movimiento desordenado, a causa del cual estos atraviesan una sección cualquiera del conductor en ambos sentidos. Al establecerse una diferencia de potencial eléctrico entre los extremos de un conductor, el campo eléctrico genera fuerzas eléctricas sobre dichos electrones libres, de modo que éstos son arrancados por ellas provocando su desplazamiento.
Ahora, si bien seguirán moviéndose desordenadamente, habrá más electrones que se desplacen en un sentido que en el otro. Este flujo neto apuntará en sentido contrario al de las líneas de campo
Intensidad de corriente eléctrica
Entonces así como definimos al caudal como la masa de agua que atravesaba una sección de un conducto en un determinado intervalo de tiempo llamaremos intensidad de la corriente eléctrica a la cantidad de carga que atraviesa la sección de un conductor en un intervalo de tiempo. En el sistema internacional de unidades la unidad de carga es el coulomb y la de tiempo el segundo, resultando la unidad de corriente eléctrica el coulomb/segundo llamada Ampere (A).
Ley de Ohm
Sabemos que si entre los extremos de un conductor existe una diferencia de potencial ΔV, circula a través del mismo una corriente eléctrica de intensidad i. ¿ Qué relación existe entre ambas magnitudes? Experimentalmente se comprueba que si la diferencia de potencial (ddp)[1] se duplicase la intensidad también se duplicaría. Si la ddp fuese el triple entonces la intensidad también se triplicaría. O sea que, para un determinado conductor, el cociente entre la diferencia de potencial aplicada y correspondiente la intensidad de corriente obtenida es una constante[2]. Estos estudios fueron realizados por Ohm que enunció la ley que lleva su nombre:

La ley de Ohm establece entonces que para un mismo conductor isotérmico, el cociente entre la ddp aplicada a sus extremos y la intensidad de corriente que circula por el mismo es una constante que depende del conductor[3], siendo esta una característica del mismo. A esta constante la llamó R, resistencia eléctrica de un conductor y su unidad en el SI es el Ohm (Ω).
Resistencia de los conductores
La resistencia de una tubería a la circulación de un fluido viscoso es mayor cuanto más larga sea esta y disminuye a medida que aumenta su sección. De la misma manera, cuanto más ancho sea un conductor, más fácilmente circularán los electrones y por el contrario, cuanto más largo sea más resistencia tendrá. Esto es debido a que al pasar los electrones por un conductor sufren una serie de choques contra los átomos del mismo, lo que determina una resistencia al paso de la corriente eléctrica. La resistencia depende del tipo de conductor (o sea de que material esta hecho) y de sus dimensiones. Entonces podemos decir que la resistencia de un conductor es directamente proporcional a la longitud del mismo l e inversamente proporcional a su sección normal A. La constante de proporcionalidad se denomina resistividad y depende del material que compone al conductor y su temperatura. Usaremos la letra griega ρ para referirnos a la resistividad. En la tabla se muestra las resistividades de algunos materiales conductores. En los metales esta aumenta con la temperatura[4]. Por lo tanto para calcular la resistencia de dicho conductor aplicaremos la siguiente expresión:

Circuitos eléctricos
Todo camino por el cual puedan fluir los electrones se denomina circuito eléctrico. Si obtenemos una circulación continua y constante llamaremos a ese flujo de electrones corriente continua. Entonces podemos aprovechar la energía que se produce por el desplazamiento de esos electrones (energía eléctrica) para hacer funcionar distintos aparatos que conectaremos al conductor y que transformarán la energía eléctrica en energía calórica, mecánica, etc.
Si tenemos dos esferas cargadas con cargas iguales y de distinto signo, aisladas eléctricamente del entorno y las conectamos mediante un cable metálico la diferencia de potencial entre los extremos del mismo hará que los electrones circulen a través del conductor. Esta circulación será una descarga breve en donde los electrones se moverán como una ráfaga hacia la esfera cargada positivamente y como consecuencia de ello ambas quedarán neutras luego de completarse la descarga, la que dura un breve tiempo. Algo similar ocurre cuando conectamos con un conductor las placas de un capacitor cargado. La circulación de electrones hará que disminuya la carga de las placas disminuyendo entonces la diferencia de potencial. Esto hará que la intensidad de corriente que circule disminuya a medida que se descarga el condensador. Si lo que queremos es que la corriente que circule sea constante, necesitamos que la diferencia de potencial que apliquemos entre los extremos del conductor sea constante. Las pilas y baterías, entre otros dispositivos, mantienen una diferencia de potencial constante entre sus bornes de modo que usualmente conectaremos nuestros conductores a los extremos de pilas o baterías y de ese modo obtendremos una corriente eléctrica de intensidad constante que circulará a través del conductor.
Energía y potencia
Un circuito básico es alimentado por una fuente que suministra una diferencia de potencial constante y que contiene una o más resistencias. Cualquier aparato eléctrico conectado en el mismo será representado por una resistencia. Cualquiera sea la naturaleza de los elementos considerados, pasa a través de ellos una cierta cantidad de carga q en un intervalo de tiempo Dt, desde el punto A donde tiene un cierto potencial eléctrico VA hacia el punto B, donde posee un potencial eléctrico menor VB. La fuerza eléctrica hace trabajo al desplazar las mencionadas cargas. Como consecuencia de esto la carga pierde una cantidad de energía potencial eléctrica que es entregada al mencionado tramo del circuito. Si entre A y B se conecta una resistencia está se calentará por lo que la energía eléctrica aparece como energía calórica. De haber una lamparita, parte de la energía eléctrica disipada aparecerá como calórica y parte como energía lumínica. Si tuviésemos conectado un motor, parte aparecerá como energía calórica y parte como energía mecánica.
Podemos calcular la energía potencial eléctrica disipada entre dos puntos de un circuito aplicando la siguiente expresión (ver energía potencial eléctrica)

Efectos de la corriente eléctrica
Térmico: cuando una corriente eléctrica circula por un conductor, la temperatura de este se eleva, disipándose la energía potencial eléctrica energía calórica. Este fenómeno se conoce como efecto Joule. La plancha, la estufa (eléctrica) y el secador de cabello son aplicaciones de este efecto.
Electroquímico: cuando una corriente circula por una solución electrolítica hay transporte de materia bajo la forma de iones y reacciones de oxidación y reducción en los extremos del conductor que está en contacto con la solución. Estas reacciones permiten dar a objetos un recubrimiento metálico como en el cromado, el plateado, etc.
Magnético: cuando una corriente circula por un conductor se genera un campo magnético alrededor del mismo. Estos efectos no los desarrollaremos en el presente curso.
Resistencias en serie
Cuando se conectan dos o más resistencias (por ejemplo dos o más aparatos eléctricos) uno a continuación del otro, es decir, usando el mismo cable, se dice que estos aparatos están conectados en serie (vimos este concepto en Fluidos, al hablar de resistencias en viscosidad). En este caso la corriente que circula por cada una de las resistencias es la misma y la ddp total es la suma de las ddp en cada resistencia. Se puede demostrar la el conjunto se comporta como si fuese una única resistencia (que llamaremos resistencia equivalente) cuyo valor coincide con la suma de los valores de cada resistencia que se ha conectado en serie. En general:

Resistencias en paralelo
En ocasiones un conductor se puede ramificar en dos o más ramas y en cada una de estas se puede conectar una resistencia. En este caso se dice que la conexión es en paralelo (nuevamente en analogía a lo estudiado en Fluidos, resistencia viscosa). En este caso la corriente que ingresa por el conductor se reparte en cada una de las ramas y la ddp en cada rama es la misma. Se puede demostrar que este conjunto tiene una resistencia equivalente cuya inversa es la suma de las inversas de las resistencias de cada rama. En general:

Circuitos mixtos
En general las resistencias en los circuitos pueden estar conectadas en serie y/o en paralelo a una fuente de tensión. Vamos a calcular la resistencia total en dicho caso y veremos la corriente que circula por cada uno de los conductores reduciendo la complejidad de los mismos hasta que sólo quede una resistencia. Es muy conveniente representar los circuitos sucesivos que resultan de las reducciones desde el original hasta el último que sólo posee una resistencia.
Ejemplo:
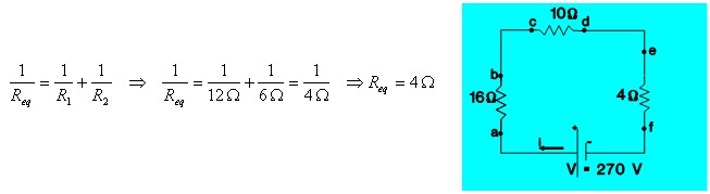
Para el circuito de la figura hallar la resistencia equivalente, la ddp entre los extremos de cada resistencia y la corriente que circula por los conductores:

Vamos a reducir el circuito hallando en primer lugar la resistencia equivalente del paralelo conectado a los puntos e y f:

Por lo tanto la resistencia equivalente entre e y f es de 4 Ω. En la segunda figura representamos como queda el circuito al reemplazar las resistencias del paralelo por su equivalente. Ahora hay tres resistencias en serie y para hallar su equivalente aplicamos:
De esta manera llegamos a reducir el circuito inicial a otro con solo una resistencia pero equivalente al inicial. Aplicando la ley de Ohm podemos calcular ahora la intensidad de la corriente que recorre este circuito:
Ahora veamos como calcular la ddp entre los puntos a y b, c y d, e y f. O sea calcularemos la ddp entre los extremos de cada resistencia. Para eso usaremos la segunda figura. Sabemos por la ley de Ohm que la ddp entre los extremos de un trozo de circuito es igual al producto de la intensidad de la corriente que circula por dicho trozo por la resistencia del mismo. Al estar las resistencias de la segunda figura conectadas en serie la intensidad que las recorre es la misma que la intensidad total, o sea, 9 Amperes. De modo que:

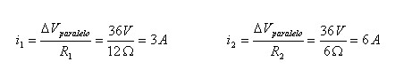
Ahora veamos lo siguiente: en la primer figura notamos que la corriente (de 9 A) circula por el circuito pasando por los punto a, b, c, d y llegando finalmente al punto e. Allí las resistencias están colocadas en paralelos por lo que sabemos que la intensidad de la corriente se repartirá en forma inversamente proporcional al valor de las resistencias de cada rama.
Entre e y f existe una ddp de 36 V por lo tanto esa es la ddp existente en cada rama del paralelo. Para saber la corriente que circula por cada resistencia dividimos esta ddp por cada una de las resistencias:

De modo que por la resistencia de 12 W circulará una corriente de 3 A de intensidad y por la de 6 W una de 6 A. Luego estas se juntan y a partir de f circulan nuevamente 9 A.
Voltímetros y amperímetros
Existen diversos aparatos destinados a efectuar mediciones en los circuitos de corriente continua. Los más comunes se denominan voltímetros y amperímetros y se utilizan para medir respectivamente las ddp y las intensidades de corriente. Vamos a indicar como se conectan estos aparatos en un circuito y veremos que condiciones deben cumplir para reducir los errores que su instalación provoca.
Para medir la ddp en una parte de un circuito se utiliza un voltímetro, el cual se debe de conectar en paralelo con dicha parte. Esto es así porque según vimos anteriormente, en todas las ramas del paralelo la ddp en la misma. Al agregar este artefacto en paralelo parte de la corriente que recorre el circuito circulará por el artefacto modificando la ddp que se desea medir. Para evitar que esta desviación sea significativa el voltímetro debe tener una resistencia muy grande (para que la intensidad de la corriente que lo recorre sea muy chica).
Para medir intensidades de corrientes se utilizan los amperímetros los que se conectan en serie con la línea cuya corriente se quiere medir. A fin de que su instalación no altere el valor de la corriente que circula por la línea la resistencia interna del amperímetro debe ser despreciable.
[1] Llamaremos abreviadamente ddp a la diferencia de potencial ya que la mencionaremos repetidas veces a lo largo del texto.
[2] Es importante resaltar que la temperatura del conductor debe mantenerse constante (ver más adelante resistencia de los conductores).
[3] Existen conductores no-ohmicos cuya resistencia depende de la ddp aplicada pero no los estudiaremos.
[4] La resistividad de un material y por lo tanto su resistencia aumenta con la temperatura. Sabemos que al aumentar esta es más vigorosa la agitación existente en los átomos del material, por lo tanto la cantidad de choques se incrementa. Contrariamente la disminuir esta la resistencia disminuye. Existen algunos materiales que pierden toda resistencia a acercarse su temperatura al cero absoluto, se trata de los llamados superconductores. Últimamente se han descubierto materiales no metálicos que se hacen superconductores al aumentar su temperatura. La causa de este fenómeno aún es objeto de discusión.

