Capacitores - Asociación de capacitores
CAPACITORES
Hay un elemento muy común usado en casi todos los circuitos eléctricos que se denomina capacitor (o condensador). En general sirve para almacenar carga, y por lo tanto energía eléctrica la que al entregarla puede producir, por ejemplo, el destello de un flash, encender un aparato, estabilizar una tensión o incluso emitir un impulso eléctrico nervioso[1].
De los muchos tipos de capacitores el más sencillo consta de dos placas planas de un material conductor, paralelas, de área A, separadas por una pequeña distancia d. Con el propósito de aumentar la carga acumulada en las placas del capacitor se rellena entre las placas con un material aislante de constante dieléctrica grande (cerámica, mica, papel, etc).


La carga, y por consiguiente la energía, almacenada por el capacitor es suministrada por una batería o pila conectando sus extremos a cada una de las placas. Las pilas se caracterizan por tener entre sus bornes una diferencia de potencial (ddp) constante, con el borne positivo a mayor potencial que el negativo. Esta ddp establece un flujo de electrones desde una de las placas a la batería, ya que son atraídos por el borne positivo de la pila; en consecuencia esta placa quedará cargada positivamente (porque perdió electrones), Atraídos por las cargas positivas de la misma y repelidos por los electrones que arriban a la pila se establece simultáneamente un flujo de electrones de la batería a la otra placa, que se cargará negativamente (porque ganó electrones).

Este flujo de electrones va cargando las placas hasta que la ddp entre las placas sea igual a la ddp en la batería. La energía eléctrica que acumula el capacitor se la entrega la pila y dentro de está se llevan a cabo reacciones químicas que transforman la energía química en energía eléctrica. La carga acumulada es proporcional a la capacidad y la ddp de la pila o fuente con la que se lo cargó:

Si conectamos un conductor entre las placas los electrones fluirán de la placa negativa hasta la positiva de manera abrupta, hasta descargarse (casi) totalmente. Este flujo de corriente no es constante sino que es desacelerado ya que se genera una intensidad de corriente inicial muy importante y luego decrece significativamente. Para darnos una idea la luz (muy intensa inicialmente y que rápidamente disminuye) que emite un flash de una cámara fotográfica se debe a la descarga de un capacitor, así como la descarga de corriente que emite un desfibrilador, entre otros aparatos eléctricos que requieren de un flujo de electrones de estas características. Si un capacitor cargado lo desconectamos de la pila, las placas del mismo quedan almacenando energía. Por estos motivos, si tocamos las placas de un capacitor cargado, aunque este desconectado, la descarga que se produce es importante pudiendo ser letal si el voltaje es elevado.
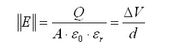
En el interior del capacitor existe un campo eléctrico constante generado por la superposición de los campos de las dos placas cargadas de distinto signo. Las líneas de campo van de la placa positiva hacia la negativa y el valor del módulo del campo es:

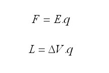
La existencia de este campo permite que sucedan fenómenos eléctricos. Por ejemplo, si queremos trasladar una carga puntual de una placa a otra el módulo de la fuerza eléctrica y de su trabajo serán:

A la energía acumulada por el capacitor se la denomina energía potencial eléctrica. El cálculo de esta energía no es fácil ya que la energía que debemos entregarle a cada electrón para pasar de placa va aumentando a medida que las placas tienen más carga, por eso sólo vamos a escribir su expresión:

Ejemplo:
Si tenemos un capacitor de placas planas paralelas, con 25 cm2 el área de cada placa, separadas por una distancia de 1 mm, y en su interior colocamos un material de constante dieléctrica 100, calcular:
a) La capacidad del capacitor
b) Si lo conectamos a una pila de 20 Volts, la carga de cada placa y el campo eléctrico en su interior.
a) Podemos calcular directamente su capacidad empleando:

b) La carga es igual a la capacidad multiplicada por la ddp entre sus placas, al conectarlo con una pila de 20 V, el capacitor se carga hasta que la ddp entre sus placas también sea de 20 V, por lo tanto:
Y el módulo del campo eléctrico en su interior podemos calcularlo como:

Ejemplo:
Dado un capacitor de capacidad C y cargado con una carga en sus placas Q, si aumentamos la distancia entre sus placas llevándolas al doble la distancia inicial, calcular el porcentaje en que varía la energía almacenada en el capacitor con respecto a la energía inicial si:
a) Mantenemos el capacitor desconectado de la pila al llevar al doble la distancia.
b) Manteniendo al capacitor conectado a la pila.
Si se maniobra el capacitor desconectado de la fuente la carga almacenada no varía.
De estar conectado no varía la diferencia de potencial.
a) Si llamamos d a la distancia entre placas, al separar las placas al doble de distancia la capacidad disminuye e la mitad:

Si separamos la distancia entre placas al doble manteniendo el capacitor desconectado de la fuente la carga no cambia, ya que las cargas no tienen por donde “escaparse” de las placas, luego a la energía almacenada nos conviene escribirla en función de la carga (que no cambia), y de la capacidad a (que disminuye a la mitad), comparando las energías inicial y final:

Es decir que la energía almacenada aumenta un 100%. ¿De donde proviene esa energía? Al separar las placas debemos realizar un trabajo para vencer las fuerzas eléctricas que tienden a juntarlas ya que tienen cargas opuestas, nos cuesta trabajo separar las placas y ese trabajo hace que aumente la energía del capacitor. También podemos ver que el campo eléctrico en el interior del capacitor no varía, pero la ddp entre placas aumenta al doble.

b) En este caso la capacidad también disminuye a la mitad, ya que la capacidad es una propiedad geométrica que no depende de la carga ni de la ddp del capacitor. Ahora si mantenemos el capacitor conectado a la pila, la fuente puede entregarle o sacarle cargas a las placas, pero en este caso sabemos que la ddp entre placas no va a cambiar. La carga de cada placa va a variar de manera que la ddp entre las placas sea igual a la tensión de la pila, por lo tanto la energía conviene escribirla en función de DV que sabemos que no varía, y de la capacidad que disminuye a la mitad.

Es decir que la energía disminuye un 50%.
Asociación de capacitores
Ahora analizaremos circuitos con varios capacitores, conectados a una pila para cargarlos, en general los capacitores se representan simbólicamente por el siguiente dibujo:

Donde las líneas verticales representan las placas del capacitor, y las líneas horizontales conductores que sirven para conectarlos con otro capacitor o con la pila (fuente). La idea en cualquier circuito con capacitores es poder determinar cuanto vale la carga y la ddp entre las placas en cada capacitor. Dependiendo de cómo están conectados podemos distinguir dos casos, en serie o en paralelo.
Capacitores en serie
Cuando conectamos cada capacitor uno a continuación del otro, mediante el mismo conductores, se dice que los capacitores están conectados en serie. En esta configuración la carga de cada capacitor es la misma ya que los electrones que salen del borne negativo cargan la placa del capacitor 1 conectada a la pila, en la otra placa del capacitor 1 se inducen cargas positivas (los electrones se sienten repelidos por la placa cargada negativamente) y esos electrones van al capacitor 2. También sabemos que entre los extremos de la pila la ddp es la tensión de la pila por lo tanto el ΔV en el capacitor 1 más el V en el 2 debe ser la tensión que entrega la pila (como la diferencia de presión en resistencia hidrodinámica).
De esto se puede demostrar que podemos reemplazar los dos capacitores por un solo de capacidad equivalente tal que su inversa sea igual a la suma de las inversas de cada capacidad. En general para capacitores conectados en serie:

Noten que la capacidad equivalente es siempre menor que la menor de las capacidades.
Capacitores en paralelo
Si conectamos cada placa del capacitor entre sí, obtenemos un circuito paralelo de capacitores. En estos circuitos la ddp en cada capacitor es la tensión de la pila, ya que cada placa del capacitor esta conectada directamente a la pila, y la carga total que entrega la pila se distribuye en cada uno de los capacitores. De esto podemos demostrar que los capacitores se pueden reemplazar por uno solo de capacidad equivalente la suma de todas las capacidades.

Noten que la capacidad equivalente es siempre superior a la mayor de las capacidades conectadas