Ley de Coulomb- Campo eléctrico
ELECTROSTÁTICA
Todos estamos familiarizados con algunos fenómenos eléctricos. Los relámpagos, cualquier artefacto eléctrico (desde lamparitas hasta computadoras), son algunos de los más conocidos, pero también es fundamental en la composición de los átomos y hasta en la conducción nerviosa de los animales.
En este capítulo trataremos los fundamentos básicos de la electrostática, es decir cargas eléctricas en reposo, donde definiremos algunos conceptos importantes como fuerzas y campos eléctricos, diferencia de potencial y energía electrostática.
Medios conductores y no conductores
Recordaremos aquí una sencilla definición de materiales conductores y aislantes que luego profundizaremos en electrodinámica. Sabemos que hay materiales en los cuales los electrones de las capas externas están débilmente unidos al núcleo (los metales), en estos casos ante un pequeñísimo “impulso” los electrones pueden “circular” libremente dentro del material, estos materiales se denominan buenos conductores de la electricidad. Mientras que hay otros materiales en los cuales todos los electrones están fuertemente unidos a las moléculas, estos materiales son malos conductores de la electricidad o aislantes o dieléctricos.
Esta división de los materiales en buenos y malos conductores no es tan blanco o negro; algunos materiales, que son en general malos conductores, cuando sus electrones reciben un “impulso fuerte” pueden convertirse en buenos conductores, además dentro de los buenos conductores de la electricidad los hay mejores y peores, incluso hay materiales como el germanio y el silicio, llamados semiconductores, que tienen un comportamiento dual, a veces como conductores y otras como aislantes. Nosotros no profundizaremos sobre esta cuestión, simplemente trataremos a los materiales como conductores, cuando sus electrones pueden moverse libremente, o aislantes cuando no tiene electrones libres.
Cargas eléctricas
Desde hace mucho tiempo se conocen los efectos de la electricidad. Ya en el año 600 A.C. Tales de Mileto observó que un pedazo de ámbar frotado atraía pedacitos de paja. Existen dos tipos diferentes de cargas eléctricas llamadas arbitrariamente positiva y negativa, cuando un cuerpo (o una parte de él) adquiere alguna carga neta diremos que el cuerpo se encuentra cargado eléctricamente y si no decimos que es eléctricamente neutro. Dos cuerpos cargados eléctricamente con el mismo signo se repelen, y con signo opuesto se atraen.
La unidad de carga eléctrica es el electrón, pero como es una cantidad muy pequeña se utiliza en el SI (sistema internacional) el coulomb (C) que es un múltiplo. La relación entre ambas unidades es:
1 e- = 1,602.10-19 C
¿De dónde provienen las cargas en un cuerpo? Sabemos que la materia esta compuesta por átomos, y todo átomo tiene en el núcleo partículas con carga positiva (los protones) y está rodeado por partículas de carga negativa (los electrones). Generalmente los átomos tienen la misma cantidad de protones que de electrones, por lo que la carga total del átomo es nula, y si un cuerpo tiene todos sus átomos neutros eléctricamente, la carga total del objeto es nula. Pero si en algunos (o todos) los átomos de un cuerpo el número de electrones y protones no están equilibrados el objeto tiene carga neta.
Carga por frotamiento
En algunos materiales los electrones externos de los átomos están débilmente unidos por lo que resulta fácil sacarlos del cuerpo; podemos sacar electrones de una barra de vidrio si la frotamos con seda, los electrones externos del vidrio saltan a la seda que tiene una mayor afinidad con los electrones, por lo tanto la seda quedara con un mayor número de electrones que de protones y estará cargada negativamente, mientras que en la barra de vidrio habrá menos electrones que protones y quedará con carga positiva.
Sucede algo similar cuando frotamos con un trozo de lana un globo inflado o una lapicera. Evidentemente estos cuerpos adquieren cierta cantidad de carga eléctrica; probemos a frotar un globo y acercarlo a una pared y veremos que tiende a permanecer “adherido” a la misma; si ese globo cargado lo suspendemos sobre nuestra cabeza veremos que tiene la capacidad de atraer el cabello. Resultado del mismo fenómeno es que al frotar una lapicera podemos ver que al acercarla a pequeños trocitos de papel estos son atraídos por ella.
Todo esto demuestra de manera experimental que al frotar con un paño de seda, lana o piel ciertos cuerpos inicialmente neutros desde el punto de vista eléctrico (es decir, con la misma cantidad de cargas positivas que negativas) se produce una transferencia de electrones de un cuerpo a otro, uno de ellos cederá electrones quedando cargado positivamente y el otro absorberá estos adquiriendo una carga neta positiva.
Carga por inducción
También es posible cargar un cuerpo (o parte de él) por el fenómeno llamado inducción eléctrica. Esta se produce cuando acercamos un objeto cargado a otro cuerpo; por ejemplo, si acercamos un objeto cargado positivamente a una esfera conductora (sin ponerlas en contacto) del lado de la esfera más cercano al cuerpo cargado los electrones son atraídos, por lo tanto a pesar que la carga total de la esfera es nula, al no estar las cargas uniformemente distribuidas una parte de ella tiene carga negativa (A) y la otra positiva (B).
Si permitimos que el extremo de la esfera de carga positiva (B) se conecte a tierra, habrá una atracción de electrones desde tierra neutralizando la carga positiva de dicho extremo, quedando la esfera cargada negativamente.
Carga por contacto
Un cuerpo se carga por contacto cuando ponemos un objeto cargado en contacto directo con un metal, inicialmente neutro, si, por ejemplo, el objeto está cargado negativamente, habrá una transferencia de electrones del objeto al metal, quedando ambos cuerpos con carga del mismo signo que la del cuerpo inicialmente cargado.
Electroscopio
Para saber si un cuerpo se encuentra cargado se puede utilizar un electroscopio, el cual, como se puede observar en la figura, consiste en una barra metálica que en uno de sus extremos remata en una pequeña esfera y en el otro se anexa a dos hojitas de metal articuladas en el extremos de la barra. Esta se introduce en un recipiente de vidrio para aislarse de efectos externos y a su vez nos permite ver que sucede en su interior,. Al acerarle un cuerpo cargado (en la figura una barra de vidrio), se genera carga inducida, como ya explicamos. Como en las hojitas se concentra carga del mismo signo estas se separan por efecto de la repulsión eléctrica.

Ley de Coulomb
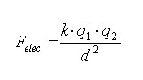
Ya sabemos que entre dos cuerpos cargados eléctricamente existe una fuerza eléctrica de atracción o repulsión dependiendo esto del signo de las cargas de cada cuerpo (igual signo se repelen, distinto se atraen). En el siglo XVIII Charles Coulomb estableció la ley que lleva su apellido, que determina el valor de la fuerza entre dos cargas eléctricas. Esta tiene la dirección de la recta que une las cargas y su sentido está dado por los signos de las mismas. Además, se comprueba experimentalmente que esta fuerza es directamente proporcional a la carga q de cada cuerpo e inversamente proporcional al cuadrado de la distancia d que las separa.

k es una constante de proporcionalidad que depende del medio donde se encuentren las cargas. La unidad de carga que usaremos se denomina Coulomb, que un número muy grande de electrones, ya que 1 C equivale a 6,25. 1018 veces la carga de un electrón (la carga de un electrón o la de un protón es de 1.6 10-19C) y las distancias las mediremos en metros, resultando la fuerza expresada en Newton.
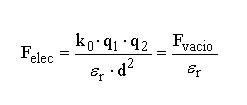
La fuerza eléctrica entre dos cargas no es la misma si las cargas están en el vacío o si están en otro medio. Para el vacío la constante k (denominada en este “medio particular” k0) vale 9×109 N×m2/C2 (en el aire su valor es prácticamente el mismo).
Cuando colocamos las cargas en un medio no conductor (como por ejemplo madera, cerámica, plástico, etc) distinto del vacío, la fuerza eléctrica será de menor intensidad. Al cociente entre la fuerza entre dos cargas en el vacío con respecto a la del medio se lo llama constante dieléctrica del medio (er). Esta constante es una medida de cuánto menor es la fuerza entre dos cargas en un medio no conductor cualquiera, comparada con la fuerza que sufren esas dos mismas cargas en el vacío (er siempre es mayor que 1, salvo en el vacío que es igual a 1). Como er es una relación de fuerzas no tiene unidades. Para calcular la fuerza eléctrica en un medio que no sea vacío, podemos calcular la fuerza que existiría en el vacío y dividirla por er de medio o reemplazar la constante k en por k0/er

(Si el medio es conductor las cargas dentro del material se comportarán de manera muy distinta ya que podrán desplazarse. Por el momento sólo analizaremos cargas en reposo).

Ejemplo:
Calcular la fuerza neta sobre q = +2 μC debida a las cargas q1 y q2 ambas de +1 μC en la siguiente situación (se encuentran en el vacío):

Nos piden que analicemos las fuerzas que las cargas q1 y q2 ejercen sobre la carga q. Por un lado, entre q1 y q existe repulsión eléctrica (ambas son positivas) de manera que q sentirá una fuerza dirigida hacia la derecha que llamaremos F1 (también existe una fuerza sobre q1 hacia la izquierda pero sólo analizamos lo que le sucede a q). Por otro lado, entre q2 y q también existe repulsión, por lo que q “sentirá” una fuerza provocada por q2 orientada hacia la izquierda (F2) (no representamos la fuerza de q sobre q2).

Aplicando la ley de Coulomb calcularemos los módulos de cada fuerza:

(Notemos que como las cargas q1 y q2 son iguales y la distancia entre q2 y q es el doble que entre q1 y q, la fuerza entre q2 y q será 4 veces menor que entre q1 y q)
Luego la fuerza neta sobre q será la resta de los módulos de ambas fuerzas:

Para pensar: si q2 fuese negativa ¿Cómo sería la resultante?
(Esperamos tu respuesta en el foro de la unidad!!)
CAMPO ELÉCTRICO
Sabemos que entre dos cargas existe una fuerza de atracción o repulsión. Ahora bien, supongamos tener sólo un cuerpo cargado eléctricamente que llamaremos Q. Los puntos del espacio que se encuentran a su alrededor tienen una propiedad que se llama campo eléctrico (E), debido a la posibilidad de que esta carga Q atraiga o repela a otro cuerpo cargado que se coloque en sus inmediaciones. Debido a que es Q el cuerpo que genera este fenómeno, se lo llama carga generadora o carga fuente y a los puntos que analizaremos alrededor de Q se los llama punto campo dado que poseen la propiedad de experimentar una fuerza eléctrica si se coloca en ellos un cuerpo cargado.
El campo eléctrico E se representa como un vector cuya dirección y sentido se definen igual que cuando representamos una fuerza eléctrica pero suponiendo siempre que en el punto donde estamos calculando el campo hay una carga positiva. Las unidades de E serán unidad de fuerza sobre unidad de carga, que en el sistema que estamos trabajando son Newton/Coulomb (N/C).
Campos de cargas eléctricas puntuales
Si tenemos una carga puntual (muy chiquita) Q y queremos calcular el campo eléctrico que produce esta carga en cualquier punto alrededor de ella obtendremos que el campo disminuye a medida que nos alejamos de Q de forma inversa al cuadrado de la distancia. Y la dirección y sentido del campo es un vector radial, hacia afuera si Q > 0, y hacia adentro sí Q < 0.
El campo eléctrico de una carga es un campo vectorial, es decir que a cada punto del espacio le corresponde un vector. Si quisiéramos representar el campo eléctrico podríamos dibujar una flecha en cada punto del espacio con la dirección y sentido del campo eléctrico y el tamaño proporcional al módulo del campo, con este método nos quedarían un montón de flechas haciendo que el dibujo sea ilegible.

Vectores campo eléctrico E para una carga puntual positiva y otra negativa.
Obsérvese que el módulo de los vectores disminuye a medida que se alejan de la carga fuente. Estos vectores se dirigen hacia fuera de la carga fuente cuando ésta es positiva y hacia dentro cuando ésta es negativa. Representan la fuerza que “sentiría” una carga positiva que se colocase en esos puntos.
Líneas de campo eléctrico
La forma gráfica con la cuál en general se representa un campo eléctrico (así como cualquier campo vectorial) son las líneas de campo, que son como las líneas de corriente que vimos en el capítulo de fluidos para el campo de velocidades. Las líneas de campo son líneas continuas que en cada punto son tangentes a la dirección del campo eléctrico dibujando flechas sobre las líneas que indican su sentido, y donde hay mayor densidad de líneas el módulo del campo eléctrico es mayor. Por ejemplo, para una carga puntual positiva vemos que las líneas de campo son radiales con sentido hacia afuera y a medida que nos alejamos de la carga las líneas están más separadas lo que indica que el módulo del campo eléctrico disminuye a medida que nos alejamos de la carga. (Las circuanferencias rojizas nos marcan puntos en donde el campo es el mismo en cada una de ellas, esto es fácilmente deducible ya que los puntos de las circunferencias están a la misma distancia de la carga central generadora)

Si tenemos muchas cargas puntuales el campo sobre un punto es la suma vectorial de los campos eléctricos debido a cada carga que lo produce en ese punto.

Trabajo de la fuerza eléctrica y variación de energía potencial eléctrica
En mecánica vimos que para elevar un cuerpo debemos entregarle energía para vencer la fuerza peso. Este aumento de energía hace que el cuerpo gane en energía potencial gravitatoria (m.g.h) y la variación de esta energía es justamente el trabajo de la fuerza peso cambiado de signo (ΔEpot grav = -Lpeso). Esto era una propiedad de la fuerza peso y de toda fuerza conservativa. Bien, la fuerza eléctrica es una fuerza conservativa, por lo que, de manera análoga, para calcular la variación de la energía potencial eléctrica entre cargas podemos asociarla al trabajo de la fuerza eléctrica (con signo cambiado):

En general, ya que la variación de energía potencial eléctrica es menos el trabajo de la fuerza eléctrica, si el trabajo de la fuerza eléctrica es negativo (movemos la carga en contra de la fuerza eléctrica) la energía potencial aumenta, y si el trabajo de la fuerza eléctrica es positivo (movemos a favor de la fuerza eléctrica) la energía potencial disminuye.
Si nos movemos de manera perpendicular al campo la fuerza eléctrica es normal al desplazamiento y su trabajo es nulo de modo que no varía la energía potencial eléctrica. Finalmente, si realizamos una trayectoria cualquiera podemos dividir el desplazamiento total en pequeños desplazamientos unos paralelos y otros perpendiculares al campo y como en los deslazamientos perpendiculares al campo el trabajo de las fuerzas eléctricas es cero (cos 90°=0), el trabajo es el mismo que el calculado en una trayectoria paralela al campo (recordemos que el trabajo de fuerzas conservativas no depende de la trayectoria).

La figura nos muestra una carga positiva que genera un campo eléctrico en su derredor, las líneas azules son algunas de las líneas de campo y las circunferencias rojas representan trayectorias perpendiculares (llamadas equipotenciales). Si una carga se desplaza a lo largo de estas últimas el trabajo de la fuerza eléctrica es nulo (cos 90º) y por lo tanto no cambiará la energía potencial. Al ser la fuerza eléctrica una fuerza conservativa su trabajo no depende de la trayectoria sino de los puntos iniciales y finales; por lo tanto si consideramos la carga marcada como un punto negro que se mueve en forma "ondulada" su trabajo también será nulo como si en realidad se hubiese desplazado por la circunferencia de donde comienza y finaliza su recorrido.
Si en cambio una carga positiva (punto rojo en la figura) se desplaza a lo largo de una línea de campo como se indica con la flecha roja su trabajo será positivo ya que la fuerza será de repulsión y por lo tanto tendrá el mismo sentido que el vector desplazamiento, flecha negra (cos 0º) y la energía potencial eléctrica disminuirá.
El punto verde representa una carga negativa que se desplaza como indica la flecha del mismo color. El trabajo de la fuerza eléctrica será negativo ya que la fuerza será de atracción y por lo tanto tendrá el sentido opuesto al del vector desplazamiento, marcado con una flecha negra (cos 180º) y la energía potencial eléctrica aumentará.
Potencial eléctrico: definición de diferencia de potencial
A lo largo de este curso hemos visto la importancia de la “diferencia de” en distintos contextos. Si colocamos una bolita en reposo sobre una mesa sabemos que permanecerá en reposo; si levantamos un lateral ésta se moverá, en este caso la “diferencia de” altura hace al movimiento de la bolita. Análogamente una “diferencia de” presión permite la circulación de un fluido viscoso, una “diferencia de” concentración permitirá el movimiento de partículas de soluto o bien de solvente, etc.
En electricidad para que exista un desplazamiento de cargas necesitamos una diferencia de potencial. ¿Cómo se define esta diferencia? Se define como la variación (diferencia) de energía potencial eléctrica por unidad de carga o sea que:

Esta definición es equivalente a la siguiente relación, que dice que la diferencia de potencial es igual al trabajo del campo eléctrico cambiado de signo:

Una manera de entender esta última expresión es mediante el siguiente ejemplo: haciendo referencia a la figura anterior, tanto la carga roja como la verde se desplazan "a favor" del campo, o sea, se mueven en el mismo sentido que e vector campo eléctrico; por lo tanto al ser el trabajo del campo eléctrico positivo la diferencia de potencial será negativa en ambos casos, moviéndose las cargas en el sentido de los potenciales decrecientes.
Idéntica conclusión puede arribarse utilizando la definición de diferencia de potencial: respecto de la carga roja habiamos determinado que el trabajo de la fuerza eléctrica era positivo y por lo tanto la variación de la energía potencial era negativa; ahora bien, como la carga roja es positiva ΔV resulta negativo (menos dividido mas = menos, no?). Esperamos que comprendan la situación en el caso de considerar la carga verde y nos alegraría ver sus razonamientos en el foro de la unidad
Finalmente, el movimiento de la carga negra no resulta ni a favor ni en contra del campo, por eso el trabajo del campo es nulo y también nula es su diferencia de potencial. De ahí proviene el nombre de curvas o superficies equipotenciales a las circunferencias rojizas que hemos marcado concéntricamente con la carga generadora.
Cargas puntuales y cuerpos cargados
Naturalmente que cuando hablamos de cargas puntuales es una idealización de un cuerpo muy chiquito donde podemos suponer que todas las cargas están concentradas en un punto. Pero en un cuerpo real cargado, las cargas (los electrones y protones) están distribuidas sobre todo el cuerpo, si tomamos una pequeña porción del cuerpo veremos que allí hay muchas cargas (es decir muchos electrones y protones) pudiendo resultar su carga neta cero, positiva o negativa, y si nos fijamos en otra parte del cuerpo puede haber más o menos cargas que en el anterior, incluso puede haber partes donde la carga neta sea positiva y otras donde sea negativa (recordemos como se cargaban los cuerpos por inducción).
Además hay una importante propiedad de los materiales conductores, mientras que en los aislantes (dieléctricos) las cargas se encuentran en todo el volumen del cuerpo, en los conductores las cargas se ubican en la superficie externa del conductor, siempre que estemos bajo la hipótesis de electrostática, es decir cargas fijas (a la carga por unidad de superficie se la llama densidad superficial de carga: σ).
¿Por qué las cargas en un conductor se encuentran solamente en la superficie? Sabemos que en un conductor las cargas pueden moverse, para que las cargas permanezcan en reposo, el campo dentro del conductor debe ser cero pues si hubiera algún campo eléctrico en su interior las cargas dentro del conductor se desplazarían y recordemos que estamos estudiando cargas fijas. Si ponemos un conductor cerca un cuerpo cargado los electrones del conductor se acomodan en la superficie para que el campo eléctrico en su interior sea exactamente cero, ¡los conductores funcionan como si fueran un escudo contra los campos eléctricos!. Por lo tanto no puede haber carga neta en ninguna región del interior del conductor.

Finalmente, aunque sin realizar los cálculos matemáticos, mencionemos dos resultados importantes: primero es que el campo eléctrico en el exterior de una esfera cargada con las cargas distribuidas uniformemente en su interior (o en su superficie si se trata de un conductor), es exactamente igual al campo que produce un cuerpo puntual con toda la carga concentrada en el centro de la esfera. Otra configuración que vamos a utilizar es la de un plano conductor cargado uniformemente, el campo eléctrico generado por el plano en las cercanías de este es perpendicular al plano y su módulo es, si las cargas están distribuidas uniformemente, la carga total del plano dividida por el área (la densidad superficial de carga), sobre 2×er×e0, si además el plano puede considerarse muy grande (llamado plano infinito) el campo es constante en cualquier punto, es decir no importa cuanto nos alejemos, ¡el campo siempre vale lo mismo!.
