Ecuación de la continuidad y teorema de Bernoulli
HIDRODINÁMICA
Es la parte de la física que estudia las leyes del movimiento de los cuerpos fluídos.
LÍQUIDOS IDEALES O PERFECTOS
El análisis del movimiento de los fluídos en tuberías (como sangre a través de las venas y arterias) reviste un enorme interés biológico, especialmente en lo referente a la circulación sanguínea (Hemodinámica).
Como es habitual en biología, el problema real es muy complejo como para ser considerado sin una preparación previa en situaciones más simples. Ello determina que ahora expondremos los métodos de descripción y las leyes del movimiento de fluídos en las condiciones más sencillas posibles. Estas condiciones, si bien son muy restrictivas, permiten lograr conclusiones de fácil interpretación, que si bien no responden exactamente a las condiciones reales, orientan adecuadamente la interpretación de los fenómenos.
Es debido a ello que estudiaremos fluídos ideales o perfectos, que son aquellas sustancias que no oponen ninguna resistencia a los cambios de forma. Estos fluídos ideales no experimentan ninguna variación de su energía potencial de forma, carecen de rozamiento cuando una capa se mueve con respecto a otra (rozamiento que, en los líquidos recibe el nombre de viscosidad) y no cambian de volumen bajo la acción de fuerzas exteriores, vale decir que son incompresibles .
En síntesis, las condiciones bajo las cuales se analizará el movimiento de los líquidos ideales son las siguientes:
1 - Son incompresibles, por lo tanto su densidad será constante.
2 - No tienen rozamiento interno o sea no tienen viscosidad
3 - El flujo es laminar por lo cual se forman venas líquidas independientes entre sí, en donde cada partícula del fluido se desplaza siguiendo su trayectoria, sin cruzarse en la trayectoria de otra partícula. De lo contrario se denomina flujo “turbulento” en cuyo caso las líneas se entremezclan (como por ejemplo, en la estela de un barco), formándose torbellinos. El flujo sanguíneo, debido a las bajas velocidades y a la elasticidad de las tuberías es prácticamente un flujo laminar en todo su recorrido, salvo en el interior del corazón y en la salida por la válvula aórtica en donde es turbulento. Esto ocurre también al atravesar la sangre una sección de un vaso en la que se produjo un estrechamiento abrupto.
4 - Régimen estacionario o permanente lo que significa que, en cada punto, la presión y la velocidad son constantes (no varían al transcurrir el tiempo).
5 - En los tubos no existen ni fuentes ni sumideros (o sea ni ingreso, ni pérdida de líquido).
Flujo laminar en una tubería de sección constante por la cual circula un líquido ideal. Las líneas punteadas representan las llamadas líneas de corriente (también se las denomina venas líquidas). En el flujo laminar estas líneas no se cruzan y para una misma sección la velocidad de las partículas es la misma.
ECUACIÓN DE LA CONTINUIDAD
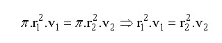
Consideremos un líquido que ingresa por una vena líquida por la sección 1 de área A1. Todas las partículas líquidas que atraviesan dicha sección se trasladan con una velocidad v1. Cuando, más adelante, atraviesan otra sección, 2, de área A2, lo hacen con una velocidad v2. Como en el movimiento entre secciones no existen ni ingreso ni egreso de líquido y además el líquido es incompresible, el caudal que ingresa por la sección 1 debe ser igual al caudal que egresa por la sección 2, vale decir:

La expresión anterior es conocida como la Ecuación de continuidad, que representa la “Ley de conservación de la Masa” para el movimiento de líquidos en régimen estacionario o permanente. La velocidad de un líquido que escurre por una vena o tubo de forma arbitraria es, en cada sección, inversamente proporcional al área de esa sección. Se observa por lo tanto que en las secciones de mayor área, la velocidad del fluido es menor y viceversa. De esta manera, para un determinado caudal y siendo conocidas las secciones de la tubería, podemos determinar la velocidad con que las partículas de un fluido la atraviesan. Esta ecuación es válida tanto para fluidos ideales o reales, las únicas hipótesis que deben cumplirse es que el fluido pueda ser tratado como un fluido incompresible y que no existan fuentes ni sumideros.
En general las cañerías son de sección circular por lo que se puede escribir:

relacionando las velocidades con los respectivos radios de las secciones que atraviesan. Como vemos la velocidad es inversamente proporcional al cuadrado del radio.
Ejemplo:
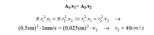
Una jeringa hipodérmica de radio interior 0,5 cm inyecta un líquido ideal a través de una aguja de medio milímetro de diámetro. El émbolo de la jeringa se mueve a una velocidad de v1 = 1 mm/s. Calcular la velocidad de salida del líquido por la aguja.

Teniendo en cuenta la Ecuación de Continuidad

Al ser el radio de salida 20 veces menor la velocidad en ese punto es 400 veces mayor !! (400 = 20²)
(Al aplicar una inyección endovenosa la velocidad a la salida de la aguja debe ser moderada. De inyectarse en el torrente sanguíneo una velocidad excesiva provocaría turbulencias no deseables)
TEOREMA GENERAL DE LA HIDRODINÁMICA
ECUACIÓN DE BERNOULLI
La ecuación de Bernoulli (válida para la circulación de todo líquido ideal o perfecto, no viscoso, incompresible, en régimen permanente y laminar) relaciona el trabajo de las fuerzas de presión sobre una masa de un fluido con la variación de la energía mecánica de la misma. En conclusión, determina una constante para dicha circulación compuesta de tres términos:

• El término p es la “presión hidrostática”. Representa el trabajo que realizan las fuerzas de presión por unidad de volumen.
• Al tercer término se lo denomina “presión cinemática”. Representa la nergía cinética por unidad de volumen.
• A la suma de ambos se la designa como “presión hidrodinámica”.
• El segundo término representa la energía potencial por unidad de volumen.
• Notemos que si el líquido esta en reposo (v=0), obtenemos el teorema fundamental de la hidrostática
Figura de referencia para la aplicación del teorema de Bernoulli
Tubos piezométricos
La figura representa la circulación (de izq a derecha) de un líquido ideal. El primer tubo mide la presión hidrostática (p) , que será d.g.h1 en tanto que el segundo mide la presión dinámica (p + ½.d.v² = d.g.h2), resultando por eso que h2 > h1
Bombas para fluidos ideales
Definimos potencia de una máquina a la energía que esta le entrega a un cuerpo por unidad de tiempo.
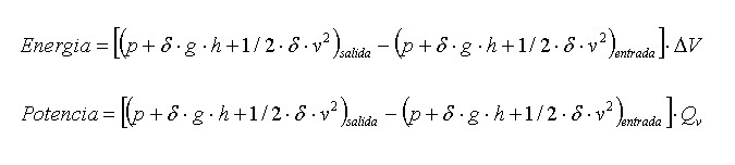
Si, por ejemplo, queremos subir agua hasta un tanque, o deseamos aumentar el caudal, vamos a necesitar una bomba que realice el trabajo necesario para llevar el líquido hasta la altura deseada. Si recordamos los términos involucrados en la ecuación de Bernoulli, cada uno de ellos es una energía por unidad de volumen. ¿Cómo podemos calcular la energía que le entrega la bomba al fluido? Si comparamos la energía del fluido a la entrada y salida de la bomba hay un aumento de ésta, justamente igual al trabajo de la bomba. En estos casos la ecuación de Bernoulli no es válida, ya que la energía del fluido aumenta, y en cuánto varía esta cantidad es la energía por unidad de volumen que le entrega la bomba.


Donde ΔV es el volumen que atraviesa la bomba. Si queremos calcular la potencia que desarrolla la bomba, recordando que potencia es energía sobre tiempo y la definición de caudal (∆V/∆t) obtenemos:
