Presión - teorema fundamental de la hidrostática
Mecánica de los fluidos
El estudio de la física de los fluidos expuesto en esta unidad tiene por objetivo facilitar el posterior estudio y compresión de la circulación cardiovascular y respiratoria, por eso ha sido planteado desde una óptica física con metas dirigidas a la fisiología. El sistema cardio-pulmonar compone una compleja unidad funcional que trabaja con líquidos y gases como lo son la sangre y la mezcla gaseosa respiratoria. La circulación de estos fluidos tiene como función servir a las necesidades de los tejidos, básicamente como medio de transporte, alcanzando los nutrientes y alejando los productos de desecho y conduciendo a su vez sustancias de un sitio a otro del cuerpo. La sangre, una solución acuosa que circula de forma continua dentro de un circuito tubular ramificado y cerrado, es impulsada por el corazón a ciclos periódicos y transporta diversas sustancias imprescindibles para las funciones vitales de cada célula. Para comprender los mecanismos presentes en la circulación sanguínea es indispensable el manejo de conceptos físicos relacionados con la mecánica de los fluidos. Las partes de la física que se ocupan de estos fenómenos se denominan hidrostática e hidrodinámica, siendo ésta una división sólo de índole pedagógica. La primera estudia a los fluidos en reposo y la segunda a los mismos en movimiento. Este estudio nos permitirá establecer las bases para el comportamiento en general de los fluidos, en donde veremos como definir magnitudes útiles para su análisis. La presión arterial y venosa, los cambios de sus valores con la postura, las presiones de los gases respiratorios, la difusión alvéolo capilar, entre otros casos, son fenómenos que no pueden ser explicados sin el conocimiento de estos términos. Asimismo conceptos como presión, densidad y otros que estarán relacionados con las propiedades generales que estudiaremos en esta unidad nos servirán para describir propiedades de otros fluidos presentes en los organismos como ser el fluido del compartimiento intracelular, el líquido intersticial, los humores vítreos y acuosos, el líquido céfalo-raquídeo, cuyo estudio se verá facilitado luego de aprender el comportamiento de los fluidos en general. La unidad cierra con un estudio de los fenómenos de transporte donde se dan los conceptos básicos de cómo se producen los intercambios de nutrientes y desechos que hablamos anteriormente.
PRESIÓN
¿Porqué duele más un puñetazo que una cachetada? Imaginemos una pareja de igual peso caminando sobre una vereda de cemento fresco, el hombre calzando zapatillas y ella con elegantes zapatos de taco aguja. ¿Quién de ellos se hunde más?
Se define como presión al cociente entre la fuerza ejercida perpendicularmente a una superficie y esta última:

Unidades usuales:
kgf/cm² ; kgf/m² ; N/m² = Pascal ; Hpa ; libra/pulgada²
Pasajes usuales

1 lb/plg² (PSI) = 6895 Pa
1 atm = 1013 Hpa = 760 mm-Hg ; 1 mm-Hg = 1 torr
Teorema fundamental de la hidrostática
Este teorema nos permitirá entender que la diferencia de presión entre dos puntos de un fluido es directamente proporcional a la densidad del mismo y a la diferencia de profundidad entre esos dos puntos. La figura que nos muestra un recipiente conteniendo un fluido en reposo.

Analicemos una pequeñísima porción del mismo, haciendo notar las fuerzas que le son aplicadas. La cara superior está sumergida a una profundidad h1 y la inferior a una profundidad h2, medidas a partir de la superficie libre del líquido. El fluido circundante ejerce fuerzas sobre cada una de las caras de muestra porción de estudio, en direcciones perpendiculares a las mismas.
Sobre las caras laterales, estas son las únicas fuerzas actuantes (F3 y F4). Como el fluido está en reposo la sumatoria de las fuerzas debe ser nula; de esto se desprende que F3 se cancela con F4.
En dirección vertical tenemos la fuerza que ejerce el fluido en la cara superior (F1), en la inferior (F2) y el peso de la porción de líquido que estamos estudiando. Si el líquido esta en reposo, la resultante de las fuerzas verticales debe ser cero por lo que:
![]()
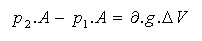
Recordando la definición de presión la fuerza actuante en cada cara puede expresarse como el producto de la presión en dicha cara por su área, o sea, F = p.A. Por otro lado podemos expresar el peso como el producto entre la densidad del líquido, la gravedad y su volumen, así que la expresión anterior la podemos escribir de esta manera:
![]()
El volumen se puede escribir como el producto entre el área A de la porción por su altura, siendo ésta, la diferencia de profundidades Δh = h2 – h1:
![]()
Simplificando las áreas queda:
![]()