Trabajo de fuerzas variables - Potencia
TRABAJO DE FUERZAS VARIABLES
Una complicación matemática adicional es que las fuerzas que actúen sobre el cuerpo no sean constantes, es decir, fuerzas que modifican su valor a lo largo de la trayectoria. Cómo procedemos entonces?
Para calcular el trabajo de una fuerza variable debemos calcular el área entre la gráfica de la fuerza y el eje x. Matemáticamente implica realizar una integral de la fuerza sobre todo el recorrido.

Ejemplo:
Sobre una masa de 30 kg actúa una resultante que varía de acuerdo con el siguiente gráfico. Si sabemos que parte del reposo calcular:

a) La velocidad del cuerpo a los 6, 8 y 11 m de su recorrido.
Calculemos para empezar el trabajo efectuado sobre el cuerpo en los primeros 6 m, luego entre los 6 m y los 8 m y finalmente entre estos y los 11 m.
En los primeros 6 m actúa una fuerza constante de 10 N, por lo tanto el trabajo de la fuerza en ese recorrido es de 60 J, resultado que coincide con el área respectiva: L0-6 = 60 J.
Luego entre los 6 m y los 8 m la fuerza disminuye su intensidad linealmente hasta anularse a los 8 m. El área encerrada es la de un triángulo (base x altura /2)de base 2 m y altura 10 N, así que el trabajo en ese desplazamiento es: L6-8 = 10 J.
Finalmente entre los 8 y 11 m la fuerza es variable y de signo negativo, por lo tanto contraria al movimiento. El área encerrada es nuevamente la de un triángulo de base 3 m y altura –15 J resultando: L8-11 = - 22,5 J.
Ahora aplicando en los intervalos mencionadas podemos calcular la velocidad en los puntos pedidos:

Como parte del reposo la energía cinética a los 0 m es nula por lo que la energía cinética del cuerpo a los 6 m es de 60 J. De allí despejamos la velocidad (2 m/s)
Aplicando la ecuación nuevamente pero entre 6 m y 8 m:

La energía cinética a los 8 m es de 70 J (60 J que era la inicial más 10 J que le aportó la fuerza) por lo que su velocidad es de 2,16 m/s. Finalmente:

La energía cinética a los 11 m es de 47,5 J debido a que tenía 70 J a los 8 m y perdió 22,5 J entre los 8 y los 11 m (ya que la fuerza actuó en contra) con una velocidad final de 1,78 m/s.
b) ¿Cuál debe ser el valor de una fuerza media constante que aplicada en esos 11 m permita que el cuerpo alcance la misma velocidad final?
Calculamos la variación de energía cinética en todo el recorrido, entre los puntos inicial (x = 0 m) y final (x = 11m), siendo la velocidad en x = 0 nula y la velocidad en x = 11 m la calculada anteriormente (1,78 m/s) resulta que:

POTENCIA
En muchos problemas nos va a interesar calcular no solo la energía que recibe un cuerpo, sino también la rapidez con la que recibe esta energía. Si dos grúas levantan igual peso, a la misma altura, las dos realizan el mismo trabajo. Pero para la grúa que lo levante más rápido decimos que la potencia desarrollada es mayor porque el trabajo que realiza por unidad de tiempo es mayor (realiza el mismo trabajo pero más rápido). La unidad más común de potencia es el Watt equivalente a Joule/seg, es decir una potencia de un Watt significa que en un segundo realiza un trabajo de un Joule.
La “potencia instantánea” realizada por una fuerza, o de la máquina que realiza tal fuerza, es la fuerza que realiza en la dirección del movimiento por la velocidad en ese instante, la “potencia media” es el trabajo realizado en toda la trayectoria dividido por el tiempo que tarda en realizarlo. Si la fuerza es constante y la velocidad del cuerpo es constante la potencia media y la instantánea son iguales.

En muchos problemas nos interesa calcular la potencia realizada por una máquina que le entrega energía a un cuerpo, una máquina “levanta” a un cuerpo o le “entrega velocidad”, en tales casos como el trabajo de la fuerza que realiza la máquina es igual a la variación de energía mecánica, resulta cómodo calcular la potencia como la variación de energía sobre el tiempo que tarda en transferir esa energía.

Unidades de potencia
Watt = Joule / s 1 Kgf m / s » 10 Watt 1 HP = 745,7 Watt
Una unidad de energía derivada del watt es el KWh (kilowatt-hora), que es la energía que entrega una máquina de 1000 Watts de potencia durante una hora
1KWh = 1000 W ×3600s = 3.6 ×106 Joules
Ejemplo:
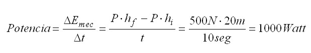
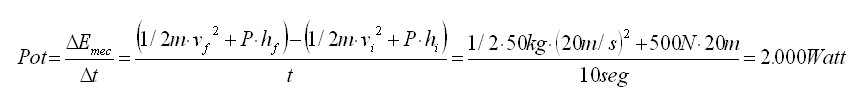
Calcular la potencia que realiza una máquina para elevar en 10 seg, un cuerpo de
a) Verticalmente a velocidad constante.
b) Verticalmente desde el reposo, hasta una velocidad final de 20 m/s.
La manera más sencilla de calcular la potencia, si conozco el tiempo, es tratando de averiguar cuanta energía le transfiere la máquina al cuerpo en los distintos casos. En todos los casos el cuerpo no sube solo, la energía aumenta y esta energía que recibe el cuerpo es la que le entrega la máquina.
a) Si el ascenso se produce a velocidad constante la energía entregada por la máquina aumenta la energía potencial gravitatoria del cuerpo, ya que la cinética es constante.

b) En este caso el cuerpo no solamente aumenta su energía gravitatoria, también el trabajo de la máquina le hace aumentar la energía cinética.
