Clase de capacitores
CAPACITORES
Hay un elemento muy común usado en casi todos los circuitos eléctricos que se denomina capacitor (o condensador). En general sirve para almacenar carga, y por lo tanto energía eléctrica la que al entregarla puede producir, por ejemplo, el destello de un flash, encender un aparato, estabilizar una tensión o incluso emitir un impulso eléctrico nervioso [1].
De los muchos tipos de capacitores el más sencillo consta de dos placas planas de un material conductor, paralelas, de área A, separadas por una pequeña distancia d. Con el propósito de aumentar la carga acumulada en las placas del capacitor se rellena entre las placas con un material aislante de constante dieléctrica grande (cerámica, mica, papel, etc).


La carga, y por consiguiente la energía, almacenada por el capacitor es suministrada por una batería o pila conectando sus extremos a cada una de las placas. Las pilas se caracterizan por tener entre sus bornes una diferencia de potencial (ddp) constante, con el borne positivo a mayor potencial que el negativo. Esta ddp establece un flujo de electrones desde una de las placas a la batería, ya que son atraídos por el borne positivo de la pila; en consecuencia esta placa quedará cargada positivamente (porque perdió electrones), Atraídos por las cargas positivas de la misma y repelidos por los electrones que arriban a la pila se establece simultáneamente un flujo de electrones de la batería a la otra placa, que se cargará negativamente (porque ganó electrones).

Este flujo de electrones va cargando las placas hasta que la ddp entre las placas sea igual a la ddp en la batería. La energía eléctrica que acumula el capacitor se la entrega la pila y dentro de está se llevan a cabo reacciones químicas que transforman la energía química en energía eléctrica. La carga acumulada es proporcional a la capacidad y la ddp de la pila o fuente con la que se lo cargó:

Si conectamos un conductor entre las placas los electrones fluirán de la placa negativa hasta la positiva de manera abrupta, hasta descargarse (casi) totalmente. Este flujo de corriente no es constante sino que es desacelerado ya que se genera una intensidad de corriente inicial muy importante y luego decrece significativamente. Para darnos una idea la luz (muy intensa inicialmente y que rápidamente disminuye) que emite un flash de una cámara fotográfica se debe a la descarga de un capacitor, así como la descarga de corriente que emite un desfibrilador, entre otros aparatos eléctricos que requieren de un flujo de electrones de estas características. Si un capacitor cargado lo desconectamos de la pila, las placas del mismo quedan almacenando energía. Por estos motivos, si tocamos las placas de un capacitor cargado, aunque este desconectado, la descarga que se produce es importante pudiendo ser letal si el voltaje es elevado.
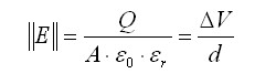
En el interior del capacitor existe un campo eléctrico constante generado por la superposición de los campos de las dos placas cargadas de distinto signo. Las líneas de campo van de la placa positiva hacia la negativa y el valor del módulo del campo es:

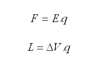
La existencia de este campo permite que sucedan fenómenos eléctricos. Por ejemplo, si queremos trasladar una carga puntual de una placa a otra el módulo de la fuerza eléctrica y de su trabajo serán:

A la energía acumulada por el capacitor se la denomina energía potencial eléctrica. El cálculo de esta energía no es fácil ya que la energía que debemos entregarle a cada electrón para pasar de placa va aumentando a medida que las placas tienen más carga, por eso sólo vamos a escribir su expresión:

Ejemplo:
Si tenemos un capacitor de placas planas paralelas, con 25 cm2 el área de cada placa, separadas por una distancia de 1 mm, y en su interior colocamos un material de constante dieléctrica 100, calcular:
a) La capacidad del capacitor
b) Si lo conectamos a una pila de 20 Volts, la carga de cada placa y el campo eléctrico en su interior.
a) Podemos calcular directamente su capacidad empleando:

b) La carga es igual a la capacidad multiplicada por la ddp entre sus placas, al conectarlo con una pila de 20 V, el capacitor se carga hasta que la ddp entre sus placas también sea de 20 V, por lo tanto:
Y el módulo del campo eléctrico en su interior podemos calcularlo como:
