Ejercicio de primer principio aplicado a gases ideales III
Un gas ideal evoluciona siguiendo dos caminos distintos que unen los puntos A y B los cuales están a una misma temperatura. Sabiendo que por el camino lleno (AB) el gas recibe 1000 cal y que el área bajo CB es de 300 cal, determinar:
a) La variación de energía interna al recorrer el camino punteado ACB.
b) La cantidad de calor entregada o absorbida en ese recorrido.
c) La cantidad de calor intercambiada al recorrer el ciclo ABCA.

(el gráfico no está en escala)
a) Este es un problema que nos va a servir para repasar algunos conceptos teóricos. Es muy importante entender que si los puntos A y B están a la misma temperatura la variación de la energía interna del gas ideal es nula, ya que la energía interna de un gas ideal depende sólo de la temperatura. Como la energía interna es una función de estado (su variación no depende del camino/evolución sino que depende de los puntos iniciales y finales) por cualquier evolución que comience en A y finalice en B la variación de su energía interna va a ser la misma, y en particular en este caso, nula
Si no varía la energía interna de al ir de A a B en ese camino el calor es igual al trabajo por lo que si el gas recibe 1000 cal realiza también un trabajo de 1000 cal:
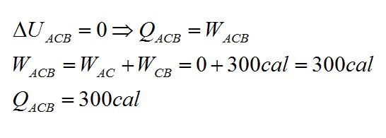
b) Analicemos ahora lo que ocurre al recorrer el camino entre A y B por la línea punteada; como el sistema no cambia su energía interna el calor resultará igual que el trabajo. Ëste lo podemos calcular fácilmente ya que la evolución AC el sistema no cambia su volumen y el trabajo es nulo y en CB tenemos como dato que realiza un trabajo de 300 cal, por lo que el trabajo total en ACB son esas 300 cal:

c) Como sabemos, en todo ciclo no cambia la energía interna. Además, si el ciclo se recorre en sentido horario el trabajo es realizado por el sistema y resulta igual al calor absorbido por el gas durante el ciclo:
-
Si no varía la energía interna de al ir de A a B el calor es igual al trabajo por lo que si el gas recibe 1000 cal realiza también un trabajo de 1000 cal, WAB = 1000 cal
-
WBC= -WCB = -300 cal)
-
WCA = 0
