Clase de transmisión de calor
TRANSMISION DEL CALOR
En esta sección estudiaremos como sucede ese flujo de energía que denominamos calor, es decir como se transmite esa energía de un cuerpo a otro, y de que factores depende.
Hay muchos fenómenos de transmisión del calor que observamos cotidianamente: el calor del Sol atraviesa el espacio vacío para llegar a la Tierra y calentar nuestra atmósfera (radiación), o bien el calor que llega a nuestros dedos si sostenemos una barra de metal por un extremo colocando el otro sobre una hornalla encendida (conducción) o el calor que aporta un mechero se transmite al agua que contiene una cacerola (convección), etc.
En todos estos fenómenos ocurre que “el calor viaja” (recordemos de la sección anterior que es un transporte de energía) fluyendo desde el cuerpo de mayor temperatura al de menor temperatura.
De acuerdo a como se lleva a cabo este transporte se lo puede clasificar en tres maneras distintas:
Conducción
Ocurre en el interior de los cuerpos por agitación térmica, sin transporte neto de materia. Es el caso más importante de transmisión en los sólidos y la cantidad de calor que es conducida queda determinada por la ley de Fourier.
Convección
Ocurre en el interior de los fluidos por variación de la densidad de éste, y con transporte neto de materia. (Ley de Newton)
Radiación
Es el único que no necesita un “medio” para transmitirse, es decir que puede ocurrir aún en el vacío. La energía se transporta en forma de ondas electromagnéticas que se convierten en agitación térmica cuando llega a un cuerpo. La expresión matemática que determina la cantidad de calor irradiada se conoce como la Ley de Stefan-Boltzmann.
Transmisión por Conducción
Estudiemos ahora en detalle el fenómeno de conducción. Este se manifiesta cuando dos recintos de distinta temperatura se comunican mediante un medio material, a través del cuerpo va a haber un flujo de calor debido a que habrá sectores con distinta temperatura. Por ejemplo, una pared que separa el interior y el exterior de una habitación constituye el medio a través del cual se conduce el calor.
¿De qué manera ocurre este fenómeno? Al unir dos recintos a diferente temperatura por un medio material, supongamos una barra, en el extremo de la misma en contacto con el recinto más caliente ocurren choques con una frecuencia mayor que en el otro extremo, en contacto con un medio a menor temperatura.
Cuando la energía del movimiento molecular es diferente en capas adyacentes de un cuerpo, los choques entre las moléculas tienden a igualar las energías de las mismas y en consecuencia todo ocurre como si se produjera un pasaje de energía térmica de la zona más caliente a la más fría. De esta forma la energía de agitación térmica se transmite por el cuerpo, molécula a molécula, por choques, manteniendo cada molécula la misma posición media.
La ley de Fourier permite calcular el calor que atraviesa una sección del material por unidad de tiempo, también llamado “potencia calórica”. La cantidad de calor por unidad de tiempo que atraviesa el material es proporcional al área (A) de la sección transversal del conductor y al cociente entre la diferencia entre dichas temperaturas y la longitud del medio conductor (∆x). La constante de proporcionalidad l depende del medio donde se transmite el calor y se llama coeficiente de conductividad del medio[1].
(En todos los problemas que analizaremos aquí suponemos que T1 y T2 se mantienen constantes en el tiempo)

Ejemplo 1:
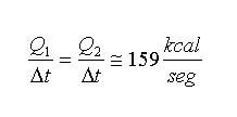
Entre el depósito superior y el inferior existe una diferencia de temperatura de 100ºC supuesta constante, siendo el superior el depósito de mayor temperatura. Están separados por un cuerpo de 4 m2 y 10 cm de espesor. Calcular la cantidad de calor conducida al cabo de una hora si el cuerpo es de:
a) Aluminio (l=0,049 kcal/seg.m.°C)
b) Agua (l=1,39.10-4 kcal/seg.m.°C)
c) Aire (l=5,7.10-6 kcal/seg.m.°C)
En cada caso primero vamos a calcular la potencia calórica y luego la cantidad de calor que ha pasado al cabo de una hora:

Nótese la diferencia entre un conductor sólido (en especial si es metálico), uno líquido y otro gaseoso.
En los medios sólidos los choques entre sus moléculas son transmitidos con facilidad por la proximidad entre ellas. Los metales son los mejores conductores del calor entre los sólidos, porque estos poseen una mayor cantidad de electrones libres en sus órbitas externas lo cual permite que los choques sean más abundantes.
El hecho de que las fuerzas intermoleculares sean menores en los líquidos es la causa de la poca conducción observada en los mismos, siendo el mercurio, por su característica metálica, el de mayor conductividad.
Los gases también son malos conductores del calor, peores que los líquidos por la debilidad de las fuerzas intermoleculares. Las telas gruesas son aislantes, no sólo por el bajo coeficiente de conducción sino por el aire que encierran. Por eso un acolchado con plumas es más abrigado que una manta. Es el mismo principio de las heladeras con vidriera, donde en lugar de un único vidrio grueso poseen varias láminas de vidrio las cuales encierran finas capas de aire entre ellas. Observando la tabla de conductividades y comparando los coeficientes de conducción del vidrio y la lana de vidrio; esta última es mucho más aislante y eso se explica por el aire que encierra. Del mismo modo es más aislante una pared de ladrillos huecos que macizos, etc.
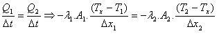
Una pared de sección rectangular tiene un área de 2,7 m² y separa dos recintos uno de los cuales se encuentra a T1=100ºC y el otro a T2=20ºC. La pared está compuesta por una placa de cobre (l1=0,092 kcal/seg.m.°C) de 5 cm de espesor orientada hacia el recinto de mayor temp. seguida de una placa de aluminio (l2=0,049 kcal/seg.m.°C) de 4 cm.

a) ¿Cuál será la temperatura de equilibrio en la divisoria de la placa de cobre y la de aluminio?
b) ¿Qué cantidad de calor atraviesa el conjunto por unidad de tiempo?
c) ¿Cuánto vale el coeficiente de conductividad del conjunto?
a) Esta disposición se denomina en serie e introduce una incógnita nueva Tx que es la temperatura de equilibrio entre ambos tabiques separadores, considerando que la potencia calórica es la misma ya que de lo contrario el calor se acumularía o desaparecería en algún punto interior, (suponemos que las placas están aisladas lateralmente) por lo tanto para cada bloque planteamos la expresión de Fourier resultando:
simplificando las áreas porque son iguales y reemplazando por los valores se puede despejar Tx:

b) Reemplazando ahora Tx en cualquiera de las expresiones anteriores:

c) Finalmente podemos calcular el coeficiente de conductividad del conjunto considerándolo como un tabique único:

Transmisión por Convección
Vimos que los líquidos y gases son malos conductores del calor, por ser el coeficiente de conducción muy chico. Pero en los fluidos hay otra forma de transmisión del calor predominante que es posible justamente por la capacidad de fluir que los distingue de los sólidos. Cuando en un fluido hay regiones con distinta temperatura, estas diferencias provocan variaciones de densidad: a mayor temperatura menor densidad. Se provocan entonces en el seno del fluido corrientes de convección dada la facilidad molecular para moverse. Estas corrientes de convección hacen que la temperatura del fluido sé uniformice. Vamos a entenderlo así:
Al colocar agua en un recipiente sobre una hornalla el calor emitido por la misma calienta la cara inferior del recipiente (por conducción) y se transmite calor a la porción inferior del líquido que se halla en contacto con el fondo del recipiente. Al aumentar la temperatura de esta parte de líquido aumenta su volumen por lo cual disminuye su densidad. Entonces esa capa asciende ocupando el sitio que contenía capas de menor temperatura (mayor densidad), las cuales en tanto descienden y este movimiento es denominado corrientes de convección. Lo mismo ocurre con los gases y por eso las estufas deben colocarse en las partes inferiores de las habitaciones ya que las corrientes de aire caliente ascendente uniformizan la temperatura de toda la habitación.
Su expresión analítica se rige por la ley de Newton pero no la desarrollaremos en el presente curso.
Todo cuerpo a temperatura absoluta T mayor a 0 K emite energía llamada energía radiante en forma de ondas electromagnéticas y a la emisión continua de energía radiante se la llama radiación. Una característica de las ondas, de cualquier tipo de ondas, es la de transmitir energía, esta energía depende de la temperatura del cuerpo que las emite, a mayor temperatura emite radiación (u ondas) de mayor energía. Cuando estas ondas llegan a un cuerpo traen energía, en general una parte se refleja y otra es absorbida por el mismo. En este último caso se transforma en calor y es el caso que nos interesa. A su vez el cuerpo que absorbe también emite energía radiante. Se alcanza un equilibrio dinámico a una determinada temperatura cuando la energía absorbida es igual a la emitida.
La energía radiante es emitida por toda porción del cuerpo, pero en general la energía emitida en su interior vuelve a ser absorbida y solo queda liberada la energía de una delgada capa de la superficie externa del cuerpo. Por ello la cantidad de calor emitida depende de la temperatura y de la naturaleza “de la superficie” del cuerpo. No todos los cuerpos emiten con la misma intensidad, a un cuerpo ideal capaz de emitir el máximo de energía radiante se lo denomina cuerpo negro y es el cuerpo teórico de referencia para todos los casos reales. Es un cuerpo perfectamente absorbente de todas las radiaciones que recibe y a su vez es el que mejor emite (todos los cuerpos que son buenos absorbentes también son buenos emisores y los malos absorbentes son malos emisores) . Si bien no todos los cuerpos pueden ser considerados como cuerpos negros, ese será el caso en la mayoría de los ejercicios que vamos a desarrollar. Se define como coeficiente de emisividad ε a una constante que determina “que tan ideal” es un cuerpo (o la emisión de ese cuerpo comparándola con la de un cuerpo negro a la misma temperatura). Si ε=1 entonces el cuerpo es negro perfecto y absorbe (y emite) el máximo de radiación. Al disminuir este coeficiente indica que el cuerpo no es perfectamente negro y por lo tanto no es tan absorbente y si ε=0 entonces ese cuerpo rechaza (en realidad se dice refleja) todas las radiaciones (por eso se pintan las azoteas de plateado para que reflejen toda radiación recibida y como no absorben, no acumulan energía. También justifica el uso de ropas claras en zonas de mucha temperatura).
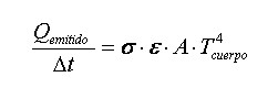
La energía radiante emitida o absorbida por un cuerpo por unidad de tiempo, es directamente proporcional al área de su superficie externa A, al coeficiente de emisividad ε y según la ley de Stefan-Boltzmann a la cuarta potencia de la temperatura absoluta.

(fe de erratas: en el último miembro debe decir K4). La constante de proporcionalidad σ es llamada constante de Stefan-Boltzmann.
Además dijimos que se absorbe y emite radiación térmica, por lo que si un cuerpo está colocado en un ambiente cuya temperatura sea mayor que la del cuerpo, absorberá calor por radiación a temperatura ambiente y emitirá a su temperatura, por lo que se calentará dado que la absorción será mayor que la emisión. Obviamente si el ambiente está más frío se enfriará. Luego de un tiempo se alcanzará el equilibrio dinámico que mencionamos antes.
Para calcular el calor (por unidad de tiempo) que absorbe un cuerpo del medio externo usamos la expresión:

Para calcular el calor emitido por unidad de tiempo por el cuerpo:

La potencia calórica neta debida a la radiación es la diferencia entre estos valores:

Nótese que en este caso el cuerpo cede calor al medio ambiente. Si la temperatura del ambiente fuese mayor que la del cuerpo este se calentará y debe invertirse la diferencia.
Un cuerpo perfectamente negro tiene una superficie externa de 2 m2 y una temperatura de 300 ºC (573K). Se coloca en un ambiente que se encuentra a 30 ºC (303K). Calcular cuanto calor por unidad de tiempo absorbe y emite en esas condiciones.

Obviamente el cuerpo se enfriará perdiendo 2,67 kcal/seg (2,9 –0,23)
[1] Nótese que el signo menos de la expresión de Fourier es para neutralizar el signo negativo de la diferencia de temperaturas ΔT ya que es habitual expresar ΔT como T2-T1, donde T2 es en estos casos la temperatura del depósito de menor temperatura. (Puede usarse el valor absoluto de la diferencia de temperatura y se prescinde del signo menos).