Clase de calorimetría
CALOR Y TEMPERATURA
En muchos procesos biológicos juega un rol muy importante el concepto de temperatura. Por ejemplo, la temperatura en los tejidos internos del cuerpo humano se mantiene prácticamente constante (a excepción de enfermedad febril) independientemente de la temperatura ambiente a la que esté expuesto el individuo. Esto es posible debido a un preciso mecanismo de regulación de temperatura que produce la pérdida o producción de calor cuando aumenta o disminuye la temperatura corporal. Ahora definiremos calor y temperatura, sus diferencias y su relación.
TEMPERATURA
La temperatura (en Kelvin) es una medida de “la energía cinética media de las moléculas” del sistema, definición que sirve tanto para gases, líquidos y sólidos. Las moléculas de una sustancia no están en reposo, por lo tanto cada molécula tiene una velocidad y su correspondiente energía cinética. La velocidad de las moléculas va variando constantemente, y no es la misma para cada una de ellas; algunas se mueven rápidamente y otras mas despacio. Pero si pudiésemos calcular la energía cinética de cada una de las moléculas, sumarlas todas y dividir el resultado por el número total de moléculas (energía cinética media), veríamos que el resultado permanece constante en el tiempo si la temperatura no varía, y aumenta o disminuye cuando la temperatura hace lo mismo.
CALOR
El calor es la transferencia de energía cuando ponemos en contacto dos cuerpos que se encuentran a distinta temperatura. En estos casos hay un flujo espontáneo de energía del cuerpo con mayor temperatura al de menor temperatura. A la cantidad de energía que se transfiere se la denomina calor (Q). Esta transferencia de energía cesa cuando se igualan las temperaturas de los cuerpos.
Cuando un cuerpo recibe esta transferencia de energía decimos que el cuerpo absorbe calor y por convención consideramos que el calor recibido es positivo (+Q), mientras que cuando entrega esta energía decimos que libera calor tomándolo como negativo (-Q). Cuando un cuerpo absorbe calor, esa energía deja de ser calor para transformarse en energía interna. Este aumento de energía se reparte entre las moléculas produciendo que se muevan más rápidamente, es decir que las moléculas tengan en promedio mayor energía cinética y por lo tanto mayor temperatura el cuerpo; o bien utiliza esa energía para modificar las fuerzas entre las moléculas y producir un cambio de estado (por ejemplo pasar del estado sólido al líquido).
Como el calor es una forma de energía obviamente tienen las mismas unidades. Por una razón histórica el calor comúnmente se lo mide en calorías y la equivalencia con el Joule es:
1 caloría = 4,186 Joules o 1 Joule = 0,24 calorías
CANTIDAD DE CALOR
La cantidad de calor (Q) necesaria para aumentar (o disminuir) la temperatura de un cuerpo depende de la diferencia de temperatura, la masa del cuerpo y el calor específico (ce), siendo esta magnitud una característica de cada sustancia (y de su estado de agregación):

(Al producto ce.m se lo llama capacidad calorífica)
Algunos valores típicos de calor específico de distintas sustancias:

Que el calor específico del agua sea de 1cal/g°C significa que para aumentar en 1 °C (o 1 K), la temperatura de 1 gramo de agua líquida debemos entregarle 1 caloría. Notemos que el calor específico del agua es alto comparándolo con otras sustancias, es decir que para producir la misma variación de temperatura necesito entregarle más calorías. Si le entregamos la misma cantidad de calor a, por ejemplo, 100 gramos de agua y 100 gramos de cobre, en el cobre la variación de temperatura será 10 veces mayor que la del agua. Este hecho tiene importantes consecuencias, como por ejemplo, posibilitar que el agua intracelular actúe como regulador térmico.
Ejemplo1:
Calcular la cantidad de calor necesaria para llevar de 15oC a 50oC la temperatura de 20 gramos de agua.

Mencionemos que si sobre el cuerpo realizo el proceso inverso, de 50oC a 15oC, DT es de –35 ºC y por lo tanto Q es negativo, que esta de acuerdo con la convención utilizada de ser negativo si el cuerpo libera calor.
Para gases, el calor específico depende de la forma en que se le suministra el calor, dependiendo que se le suministre (o quite) calor a volumen constante o a presión constante. Además el valor del calor específico molar de un gas depende de la cantidad de átomos que constituyen la molécula:

Si tenemos un gas en un recipiente rígido y cerrado, el volumen del gas no varía y la cantidad de calor se expresa como:

Si tenemos un gas dentro de un recipiente con un pistón móvil, tal que el volumen del recipiente puede variar para que la presión del gas se mantenga constante, entonces:

CAMBIOS DE ESTADO
No siempre que le entregamos o quitamos calor a un cuerpo su temperatura varia, ya que puede ser que cambie de estado. Si la temperatura del cuerpo es la de fusión el cuerpo pasará del estado sólido al líquido si se le entrega calor o en sentido inverso si se le quita. Lo mismo ocurre cuando se alcanza la temperatura de ebullición (en la “frontera” líquido-vapor). ¿Cómo podemos explicar que un cuerpo al alcanzar la temperatura de fusión y entregarle calor no aumente su temperatura? Sabemos que en el estado sólido la fuerza entre las moléculas (fuerzas intermoleculares) es mayor que en estado líquido; por lo tanto para fundir un cuerpo necesito relajar en parte estas fuerzas,
Por lo tanto la energía calórica que recibe el cuerpo la emplea en separar las moléculas fuertemente unidas en estado sólido y así pasar al estado líquido.
Al calor que absorbe el cuerpo para fundirse se lo denomina calor latente de fusión Lf (se denomina latente debido a que no produce un cambio en la temperatura) y si es para evaporarse se llama calor latente de evaporación Lv.
En general para cualquier cambio de estado:
Q = L.m
Donde L es el calor de fusión o de evaporación y m es la masa que cambia de estado.
Ejemplo 2:
¿Cuál es el estado final de un bloque de 100 g. de hielo inicialmente a -30°C, al absorber 3100 calorías? (Dato: Lf-hielo = 80 cal/g)
Cuando en un problema no sabemos si hay algún cambio de estado, como en este caso, hay que resolverlo paso por paso para determinar el estado final (puede ser que el hielo aumente su temperatura, una mezcla de agua líquida y hielo o que se funda completamente y además aumente su temperatura)
Primero calculemos el calor necesario para pasar a hielo a 0°C

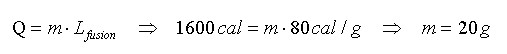
Como el bloque absorbe 3100 calorías y necesita solamente 1500 cal para llegar a 0°C, va a seguir absorbiendo calor, que lo utiliza inicialmente para comenzar a fundirse. Ahora bien, las 1600 cal que le quedan ¿Le alcanzarán para llegar a fundirse totalmente? Calculemos el calor necesario para fundir los 100g

Necesitaría 8000 para fundir los 100g, así que como sólo absorbe 1600 cal. el estado final va a ser una mezcla de agua y hielo a 0°C Calculemos ahora gramos de hielo se funden con 1600cal:

Por lo tanto el estado final serán 20 g de agua líquida, y el resto, 80 g permanece como hielo a 0°C.
CALORÍMETROS
Un calorímetro ideal es un recipiente (llamado recipiente adiabático) que no permite el intercambio de calor con el medio ambiente. Es decir que no permite que haya flujo de calor entre el interior y el exterior. Por lo tanto si colocamos dos cuerpos a distinta temperatura dentro de un calorímetro, se producirá una transferencia de calor, siendo el calor absorbido por el cuerpo que está a menor temperatura, igual al calor entregado por el otro a mayor temperatura, hasta llegar a un equilibrio térmico en el instante en que los dos cuerpos alcanzan la misma temperatura, instante en que se detiene la transferencia de calor.
Si suponemos que no se produce ninguna reacción química que pueda entregar o liberar calor, ni trabajo mecánico que pueda ser transformado en calor (que veremos en primer principio), al colocar dos o más cuerpos en un calorímetro la suma de los intercambios de calor (con su signo) debe ser cero, ya que esta aislado del exterior:
∑Q = 0
¡Esto es muy sencillo! Si tenemos solamente dos cuerpos y un cuerpo absorbe, por ejemplo, 10 calorías, el otro debe liberar también 10 calorías.
Ejemplo 3:
Si en un calorímetro ideal colocamos 1litro de agua a 20 °C y un cuerpo de cobre a 100°C, siendo su masa de 500 g. ¿Cuál será la temperatura del sistema al alcanzar el equilibrio?
Al ponerse en contacto el cuerpo de mayor temperatura cede calor disminuyendo su temperatura y el de menor temperatura absorbe calor aumentando su temperatura, hasta alcanzar ambos cuerpos una misma temperatura:

Notemos que la temperatura de equilibrio estará siempre entre las temperaturas iniciales de ambos cuerpos (20°C y 100°C). Como el agua pasa de 20°C a 23,81°C siempre permanece en estado líquido (recordemos que la temperatura de ebullición del agua es de 100°C), y el cobre se mantiene en estado sólido, en este problema no hay ningún cambio de estado.
Cuando suceden cambios de estado hay que hacer un análisis un poco más difícil…..
Ejemplo 4:
En un calorímetro adiabático se colocan 200 g de hielo a –20ºC y 2 kg de cobre a 220ºC. Utilizando los datos de las tablas de calores específicos y latentes determine el estado de equilibrio.
Nuevamente no sabemos cual va a ser el estado final del hielo (si va a mantenerse en hielo se derrite totalmente, etc.). Por eso calcularemos cuántas calorías debe recibir el hielo para convertirse en agua a 0ºC y cuantas calorías entregará el cobre al bajar su temperatura hasta los 0ºC:

En total el hielo necesita recibir 18.000 cal (2000+16000) para pasar a agua a 0ºC. Veamos cuantas calorías cedería el cobre para bajar su temperatura hasta los 0ºC:

Comparando los dos últimos resultados vemos que el calor que le entrega el cobre le alcanza y sobra para derretir el hielo. Entonces el hielo se va a transformar totalmente en agua líquida y todavía le sobra calor para aumentar su temperatura, por lo que el equilibrio se produce por arriba de los cero grados. Ahora que conocemos que todo el hielo se funde y, por lo tanto, que la temperatura de equilibrio Tf estará entre 0ºC y 100ºC (pueden calcular que el agua no absorbe la cantidad de calor necesaria para llegar a 100ºC por lo que no va a evaporarse), planteamos que la suma de todos los calores debe dar cero y sacamos la temperatura de equilibrio:

Cuando resolvemos un problema lo primero que tenemos que saber es si se producen cambios de estado ya que no sabemos a priori si debemos incluir estos términos o no. Esto a veces no es fácil de decidir, para determinarlo hay que comparar valores y ver si el calor “le alcanza” para cambiar de estado. La única manera de aprender a resolver estos ejercicios es haciendo problemas en que se presentan distintas situaciones.