Clase de hidrodinámica de fluidos reales
FLUIDOS REALES
VISCOSIDAD
Los líquidos experimentan al moverse fuerzas de rozamiento entre las distintas capas del fluido y del fluido con las paredes del recipiente que lo contiene. Estas fuerzas de rozamiento o fuerzas viscosas realizan trabajo y hacen que la energía mecánica del fluido disminuya, por lo tanto la ecuación de Bernoulli no es válida. Cuando en un fluido el efecto de las fuerzas de rozamiento es despreciable se puede considerar como “ideal”, es decir no viscoso; pero en muchas situaciones esos efectos son importantes, es decir la disminución de la energía producida por las fuerzas de rozamiento es comparable con las variaciones de presión producidas en el fluido, y debemos considerar necesariamente “la viscosidad” del fluido, en este caso diremos que el fluido es “real”.
Determinar si en un problema el fluido puede ser tratado como real o ideal depende no sólo del tipo de fluido (si es miel, agua o aire), sino también de su velocidad, del tamaño del conducto que lo contiene, de la temperatura, etc. Un mismo fluido puede tratarse a veces como real y otras como ideal para dar una descripción adecuada del problema. Por ejemplo, la sangre en las grandes arterias se puede considerar como un fluido ideal, mientras que en las arteriolas o capilares esta hipótesis nos lleva a resultados completamente erróneos.
Hay una magnitud, justamente llamada viscosidad (η), que mide en iguales condiciones cuánto mayor es la pérdida de energía por rozamiento para distintos fluidos.
La viscosidad varía considerablemente con la temperatura, en general los líquidos son más viscosos cuando disminuye la temperatura, pensemos por ejemplo en la miel o el aceite de los motores, al revés que en los gases. Un error común es confundir viscosidad con densidad, el aceite es más viscoso que el agua, sin embargo es menos denso; lo mismo sucede si comparamos la miel con el mercurio. De la definición anterior de viscosidad pueden deducir que sus unidades son unidades de presión por unidad de tiempo.
Unidades de viscosidad [η]
1 Pa s = 1 kg / m s =10 poise = 1.000 cp
FLUJO LAMINAR
Si hacemos un corte transversal de la sección de un conducto cilíndrico por la que atraviesa un fluido para el que no puede despreciarse la viscosidad (en adelante lo llamaremos real), a baja velocidad, sabemos que la rapidez tiende a cero cerca de las paredes del tubo (respecto a la superficie en contacto, como en la situación donde definimos viscosidad pero con las dos superficies quietas) y aumenta a medida que nos movemos hacia el centro del conducto. Se forman capas cilíndricas concéntricas de fluido con igual velocidad, en estos casos decimos que el flujo es “laminar”, las velocidades son paralelas a las paredes del tubo y cada capa de fluido permanece a igual distancia, no se entremezclan. A medida que la velocidad del fluido aumenta se producen “turbulencias”, parecido a la estela de una lancha con torbellinos y remolinos. Un estudio exhaustivo del flujo turbulento es mucho más difícil que el del laminar y no lo trataremos aquí, lo único que mencionaremos es que a pesar de que el flujo circulatorio es normalmente laminar, en algunas regiones donde la sangre aumenta su velocidad hay turbulencias, como por ejemplo en la parte inferior de la aorta y en sus ramas principales.

LEY DE OHM
Antes de establecer esta ley, veamos algunas consecuencias de la ecuación de Bernoulli para fluidos ideales, y analicemos que debería cambiar si el fluido es viscoso. Cuando circula un fluido ideal por un caño horizontal y de sección constante, por la ecuación de continuidad la velocidad es la misma en toda la sección y de la ecuación de Bernoulli deducimos que la presión es la misma en los extremos del caño.

Si el fluido es “real” las fuerzas de rozamiento hacen que el fluido pierda energía, como la ecuación de continuidad sigue valiendo (el fluido no se pierde), las velocidades a lo largo del tubo son constantes, si el tubo es horizontal las alturas son iguales, por lo tanto para que disminuya la energía el único término que puede disminuir es el de la presión. Hay una caída de presión a lo largo del tubo debido al trabajo de las fuerzas de roce. Aclaramos que como la velocidad del fluido en un corte transversal es mayor en el centro y tiende a cero en las paredes del tubo, el caudal se calcula como el producto del área por la velocidad media en dicha sección.
p1 > p2 => ∆p = p1 – p2
Ahora estamos en condiciones de definir la ley de Ohm, que establece que esta pérdida de presión es proporcional al caudal y a la resistencia hidrodinámica (R), siendo esta una característica del conducto por el cual circula el fluido considerado viscoso
∆p = R.Q
La resistencia hidrodinámica (R) es una medida de la dificultad con que un fluido circula a través de un caño: a mayor R, para un mismo caudal mayor es la caída de presión. Es importante señalar que la resistencia depende solo de las características del conducto, como la forma, el largo, etc., y la viscosidad del fluido. Es decir no depende ni del caudal, ni de la diferencia de presión. Un mismo caño por el que circula el mismo fluido, tiene la misma resistencia cualesquiera sean la diferencia de presión y el caudal.
En el S.I. la diferencia de presión se mide en Pascales, el caudal en m3/s resultando que la unidad de resistencia es Pa.s/m3
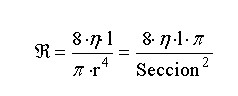
Resistencia en conductos de sección cilíndrica: Ley de Poiseuille
La ley de Poiseuille establece que la diferencia de presión es proporcional al caudal de volumen, a la constante de proporcionalidad entre Δp y Q se la llama, en general, resistencia hidrodinámica (R). La resistencia para un fluido en régimen laminar que circula por un tubo de sección cilíndrica constante vale:


En fisiología es muy utilizada la unidad de resistencia periférica “URP”, 1 URP = 1 mmHg×seg /ml. Esta unidad se justifica debido a que la resistencia de todo el sistema circulatorio sistémico (llamada resistencia periférica total) es de aproximadamente de 1 URP, pues la diferencia de presión entre las arterias y las venas es del orden de 100 mmHg y el caudal del flujo sanguíneo cuando una persona se halla en reposo es aproximadamente 100 ml/seg. Cuando los vasos se contraen la resistencia periférica total puede elevarse hasta 4 URP, mientras que al dilatarse puede bajar hasta 0,2 URP.
Disipación de Potencia
Las fuerzas de rozamiento realizan trabajo, al trabajo por unidad de tiempo de las fuerzas viscosas se lo denomina potencia disipada, vimos que éste trabajo es el responsable de la disminución de la energía mecánica del fluido, dicha energía se disipa en forma de calor producido por las fuerzas de roce.
Así como cuando un cuerpo se mueve por una superficie horizontal con rozamiento, para mantenerlo con velocidad constante necesitamos ejercerle una fuerza de igual intensidad y de sentido contrario, es decir, necesitamos entregarle la misma cantidad de energía que la que pierde por efecto del rozamiento, para un fluido real que circula por un circuito cerrado debo entregarle energía para mantener el flujo por el conducto, para que no se “pare” debo entregarle la misma potencia que se disipa, por ejemplo con una bomba (el corazón en el caso del sistema circulatorio). La potencia disipada podemos calcularla como la fuerza por la velocidad, y recordando que la fuerza es la presión por la sección del conducto por la que circula el fluido, obtenemos:
