Conceptos básicos
Mecánica de los fluidos
. Las partes de la física que se ocupan de estos fenómenos se denominan hidrostática e hidrodinámica, siendo ésta una división sólo de índole pedagógica. La primera estudia a los fluidos en reposo y la segunda a los mismos en movimiento. Este estudio nos permitirá establecer las bases para el comportamiento en general de los fluidos, en donde veremos como definir magnitudes útiles para su análisis. Asimismo conceptos como presión, densidad y otros que estarán relacionados con las propiedades generales que estudiaremos en esta unidad nos servirán para describir propiedades de los fluidos.
PRESIÓN
¿Porqué duele más un puñetazo que una cachetada? Imaginemos una pareja de igual peso caminando sobre una vereda de cemento fresco, el hombre calzando zapatillas y ella con elegantes zapatos de taco aguja. ¿Quién de ellos se hunde más?
Se define como presión al cociente entre la fuerza ejercida perpendicularmente a una superficie y esta última:

Unidades usuales:
kgf/cm² ; kgf/m² ; N/m² = Pascal ; Hpa ; libra/pulgada²
Pasajes usuales

1 lb/plg² (PSI) = 6895 Pa
1 atm = 1013 Hpa = 760 mm-Hg ; 1 mm-Hg = 1 torr
Teorema fundamental de la hidrostática
Este teorema nos permitirá entender que la diferencia de presión entre dos puntos de un fluido es directamente proporcional a la densidad del mismo y a la diferencia de profundidad entre esos dos puntos. La figura que nos muestra un recipiente conteniendo un fluido en reposo.

Analicemos una pequeñísima porción del mismo, haciendo notar las fuerzas que le son aplicadas. La cara superior está sumergida a una profundidad h1 y la inferior a una profundidad h2, medidas a partir de la superficie libre del líquido. El fluido circundante ejerce fuerzas sobre cada una de las caras de muestra porción de estudio, en direcciones perpendiculares a las mismas.
Sobre las caras laterales, estas son las únicas fuerzas actuantes (F3 y F4). Como el fluido está en reposo la sumatoria de las fuerzas debe ser nula; de esto se desprende que F3 se cancela con F4.
En dirección vertical tenemos la fuerza que ejerce el fluido en la cara superior (F1), en la inferior (F2) y el peso de la porción de líquido que estamos estudiando. Si el líquido esta en reposo, la resultante de las fuerzas verticales debe ser cero por lo que:
![]()
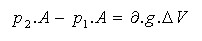
Recordando la definición de presión la fuerza actuante en cada cara puede expresarse como el producto de la presión en dicha cara por su área, o sea, F = p.A. Por otro lado podemos expresar el peso como el producto entre la densidad del líquido, la gravedad y su volumen, así que la expresión anterior la podemos escribir de esta manera:
![]()
El volumen se puede escribir como el producto entre el área A de la porción por su altura, siendo ésta, la diferencia de profundidades Δh = h2 – h1:
![]()
Simplificando las áreas queda:
![]()