Caída libre y tiro vertical - Ejemplos
CAÍDA LIBRE Y TIRO VERTICAL
Todos sabemos que si soltamos un objeto desde una terraza este caerá desplazándose hacia abajo con rapidez creciente. Si despreciamos la resistencia ofrecida por el aire en este movimiento, todos los cuerpos en esta situación, llamada caída libre, tendrán la misma aceleración que es la aceleración gravitatoria, causada por la atracción terrestre, y que tiene un valor promedio de unos 9,8 m/s², con dirección vertical y sentido hacia abajo (en realidad debemos decir orientada hacia el centro de la Tierra). El hecho de que las hojas de los árboles no caigan como lo hace una piedra sino que lo hagan con una aceleración menor se debe en realidad al efecto de la resistencia del aire, que incluso limita la velocidad máxima que puede alcanzar cualquier cuerpo en caída, modificando la aceleración a medida que la velocidad aumenta.
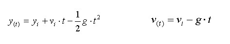
Abordaremos las causas de este fenómeno con mayor profundidad cuando veamos dinámica, por el momento sólo nos interesará saber que el movimiento de caída libre está determinado por la aceleración de la gravedad (g), de valor constante en todos los casos que veremos, de modo que se trata de un caso particular de MRUV. De esta manera adoptaremos como siempre un sistema de referencia conveniente (denominando al eje como y en vez de x ya que en la mayoría de los textos se utiliza esta nomenclatura) y estableceremos las funciones de posición y velocidad respecto del tiempo como vimos en la clase anterior. En general vamos a aproximar el valor del módulo de la gravedad a 10m/s2.
Caída libre
La figura muestra un objeto que inicia su movimiento desde una altura h respecto del piso, pudiendo o no tener velocidad inicial. Esto depende de si se lo suelta, en cuyo caso partirá del reposo (caída libre) o si se lo impulsa arrojándolo hacia abajo con una velocidad inicial cualquiera.

Hemos elegido como sistema de referencia un eje vertical “y” cuyo inicio coincide con el punto que ocupa el cuerpo en el instante inicial y cuyo sentido positivo está dirigido hacia abajo. Adaptando las fórmulas del MRUV para este caso particular en donde la aceleración será positiva (por tener su vector el mismo sentido que el eje de referencia) y la coordenada yi será nula (por la elección del origen de nuestro sistema de referencia) obtenemos:

Si arrojamos un objeto hacia arriba vemos que su rapidez disminuye hasta alcanzar su altura máxima, instante en el cual el cuerpo se detiene y comenzará a caer aumentando su rapidez. En este caso y en correspondencia con la figura conviene adoptar como referencia un eje vertical que también llamaremos “y” con origen en el suelo y sentido positivo hacia arriba. La aceleración gravitatoria actuante hacia abajo, tendrá signo negativo de acuerdo a la referencia elegida, diminuyendo la velocidad del cuerpo desde el valor inicial hasta anularla en la altura máxima. A partir de allí la velocidad continúa disminuyendo tomando valores negativos porque el cuerpo estará bajando (recordemos que nuestro sistema de referencia apunta siempre hacia arriba definiendo ese sentido como positivo). Las funciones horarias correspondientes serán entonces:

Además podemos adaptar para ambos movimientos las ecuaciones complementarias del MRUV con los respectivos reemplazos de x por y para la posición, y de a por g para la aceleración, con mucho cuidado al emplear los signos.
Ejemplo 1:
Se deja caer libremente un objeto desde una altura de 125 m sobre el nivel del piso.

a) Escribir las ecuaciones del movimiento.
b) Calcular su velocidad y altura a los 2 seg
c) Determinar cuanto tarda en tocar el piso
d) ¿Qué velocidad tiene al impactarlo?
e) Realiza las gráficas de y(t) y v(t).
a) Considerando vi = 0 ya que el enunciado dice que se lo deja caer y adoptando el sistema de referencia indicado en la figura (eligiéndose un eje vertical y con sentido positivo hacia abajo y cuyo origen coincide la posición inicial del objeto) podemos escribir:

Donde la primera de las expresiones nos permite calcular la posición que ocupa en el eje “y” con el transcurso del tiempo (que representa la distancia recorrida por el cuerpo en su caída libre) y la segunda permite calcular la velocidad que tendrá en cada instante.
b) Para conocer la velocidad alcanzada luego de 2 seg de caída libre reemplazamos este valor del tiempo en la ecuación v(t):

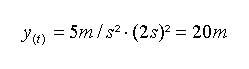
Si ahora queremos conocer a que altura (sobre el piso) se encuentra el objeto en esos dos seg primero calculamos la distancia que ha caído reemplazando el valor de t por los 2 seg en y(t):

Para saber a que altura se encuentra le restamos a la altura inicial (de 125 m) la distancia que ha recorrido en esos 2 seg resultando:

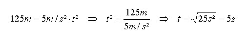
c) Si consideramos que el cuerpo ha llegado al piso entonces conocemos la distancia que ha recorrido (125 m). Si este valor lo reemplazamos en y(t) podemos despejar el tiempo que ha tardado en recorrerlos:

d) Para conocer con qué velocidad llegó al piso reemplazamos los 5 seg que tardó en v(t):

e) Realizaremos las gráficas de y(t) y v(t) considerando que vi = 0 y que es un MRUV con aceleración positiva:

Ejemplo 2:
Un cuerpo se lanza verticalmente hacia arriba con una velocidad de 50 m/s desde el nivel del piso.
a) Escribir las ecuaciones del movimiento.
b) Calcular su velocidad y altura a los 2 seg
c) Idem a los 8 seg.
d) ¿Cuánto tarda en alcanzar la altura máxima? ¿Cuál es el valor de dicha altura?
e) Determinar cuanto tarda en tocar el piso
f) ¿Qué velocidad tiene al impactarlo?
g) Realiza las gráficas de y(t) y v(t).
a) Considerando yi = 0 de acuerdo al sistema de referencia elegido y sabiendo que vi = 50 m/s obtenemos:

b) Para responder esta pregunta (y la siguiente) simplemente reemplazamos la variable t por el valor correspondiente:

c)

Es importante interpretar este resultado. Según nuestros cálculos el cuerpo estará a una altura de 80 m en dos ocasiones: a los 2 seg de haber sido arrojado hacia arriba y l uego a los 8 seg. Ocurre que en este lapso de tiempo el cuerpo alcanza la altura máxima pasando por los 80 m de altura al subir y luego regresando al bajar. Notemos que en la primer situación el móvil tiene velocidad positiva (lo cual de acuerdo al sistema referencial elegido indica que está ascendiendo) y en la segunda pasada su velocidad es negativa.
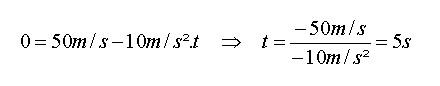
d) El cuerpo asciende disminuyendo progresivamente su velocidad hasta que esta se anula. En ese instante habrá alcanzado su máxima altura y comenzará a caer. Por lo tanto reemplazamos v(t) por 0 y despejamos t:

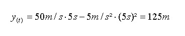
Para calcular la altura máxima tenemos que calcular la posición y(t) a los 5 segundos

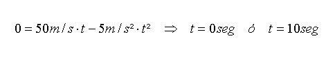
e) y f) Dado que la aceleración en la subida es la misma que en la bajada y que el desplazamiento es el mismo podemos responder teóricamente que si tarda 5 seg en subir tardará otros 5 seg en bajar de modo que volverá al piso luego de los 10 seg de haber partido con una velocidad del mismo módulo pero de sentido contrario, o sea que llegará con una velocidad de -50 m/s. Para resolverlo analíticamente consideremos que la posición referente al piso coincide con la coordenada 0 de nuestro eje de referencia de modo que podemos reemplazar y(t) por 0 y de allí despejar t de la ecuación de segundo grado resultante:

Como t = 0 seg corresponde al instante inicial llegará al piso en t = 10 seg. Reemplazando en v(t) conocemos la velocidad de llegada:

g) Sabemos que se trata de un MRUV con aceleración negativa y velocidad inicial positiva. Esta se anula a los 5 seg en donde el cuerpo alcanza su altura máxima y 5 seg después toca el suelo con una velocidad de –50 m/s:
